Quảng cáo
2 câu trả lời 650
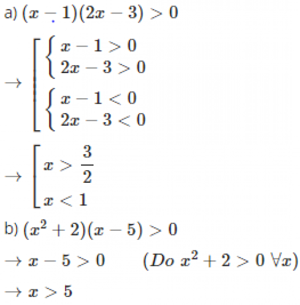
\(\begin{array}{l}
a)\left( {x - 1} \right).\left( {2x - 3} \right) > 0\\
\Leftrightarrow \left[ {\begin{array}{*{20}{c}}
{\left\{ \begin{array}{l}
x - 1 > 0\\
2x - 3 > 0
\end{array} \right.}\\
{\left\{ {\begin{array}{*{20}{c}}
{x - 1 < 0}\\
{2x - 3 < 0}
\end{array}} \right.}
\end{array}} \right.\\
\Leftrightarrow \left[ {\begin{array}{*{20}{c}}
{\left\{ \begin{array}{l}
x > 1\\
x > \frac{3}{2}
\end{array} \right.}\\
{\left\{ {\begin{array}{*{20}{c}}
{x < 1}\\
{x < \frac{3}{2}}
\end{array}} \right.}
\end{array}} \right.\\
\Leftrightarrow \left[ {\begin{array}{*{20}{c}}
{x > \frac{3}{2}}\\
{x < 1}
\end{array}} \right.\\
b)({x^2} + 2).(x - 5) > 0\\
\Leftrightarrow x - 5 > 0(do:({x^2} + 2 > 0\forall x \in R)\\
\Leftrightarrow x > 5
\end{array}\)
Quảng cáo
Bạn cần hỏi gì?
Câu hỏi hot cùng chủ đề
-
Hỏi từ APP VIETJACK120962
-
Đã trả lời bởi chuyên gia
81713 -
Đã trả lời bởi chuyên gia
59651 -
Đã trả lời bởi chuyên gia
39669

