1.Phân tích đa thức thành nhân tử
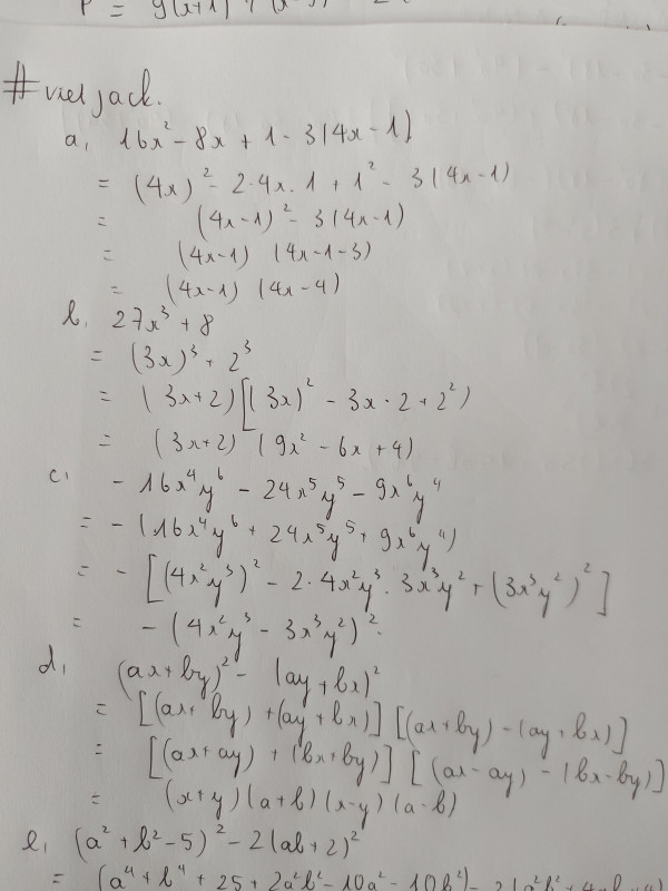
a)16x^2-8x+1-3(4x-1)
b)27^3+8
c)-16x^4y^6-24x^5y^5-9x^6y^4
d)(ax+by)^2-(ay+bx)^2
e)(a^2+b^2-5)^2-2(ab+2)^2
2.
a)(4a^2-3a-18)^2-(4a^2+3a)^2
b)-(x+2)+3(x^2-4)
c)125a^3-27b^3
Quảng cáo
3 câu trả lời 4197
Bài thơ "Nước mắt mẹ rơi" của tác giả Có Hoang Tình Buồn là một tác phẩm chứa đựng nhiều cảm xúc sâu sắc về tình mẫu tử và sự hiểu biết, tri ân đối với đấng sinh thành. Tác giả diễn đạt tình cảm của một đứa con đối với người mẹ bằng ngôn ngữ dễ hiểu, gần gũi với độc giả, khiến cho mỗi người đọc đều cảm nhận được những trăn trở, lòng biết ơn, và sự nhạy cảm của tình cảm gia đình.
Điểm đặc sắc của bài thơ là cách tác giả sử dụng hình ảnh mẹ như "bong bóng trên sông" hay "người đàn bà nhỏ bé mà vô cùng lớn lao" để tạo nên hình ảnh một người mẹ vô cùng kiên cường và bao dung. Cảm xúc trong bài thơ được thể hiện qua việc sử dụng những từ ngữ mô tả chi tiết, từ đơn giản nhưng đầy ẩn ý.
Ngoài ra, cấu trúc thơ với lối viết tự do cũng giúp tăng cường tính chân thực và tự nhiên của tác phẩm. Sự lựa chọn từ ngữ tình cảm, sử dụng những hình ảnh sinh động, và khả năng diễn đạt sâu sắc về tình mẫu tử là những yếu tố giúp bài thơ trở nên đặc sắc và lôi cuốn người đọc. Từ đó, bài thơ không chỉ là một sáng tác nghệ thuật mà còn là tấm gương thể hiện lòng biết ơn và tình cảm đậm sâu giữa con cái và cha mẹ.
Quảng cáo
Bạn muốn hỏi bài tập?
Câu hỏi hot cùng chủ đề
-
107278
-
Hỏi từ APP VIETJACK67830
-
44998
-
38171


