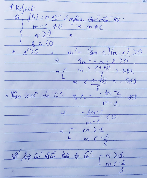
Cho hàm số: . Xác định m để f(x) =0 có 2 nghiệm trái dấu.
Quảng cáo
1 câu trả lời 2776

Đỗ Tiến Hải
· 6 năm trước
Câu này e cũng có thể không cần xét. ∆ nhé
Đỗ Tiến Hải
· 6 năm trước
Vì ac<0 thì chắc chắn ∆ > 0 rôif
Quảng cáo
Bạn cần hỏi gì?
Câu hỏi hot cùng chủ đề
-
Đã trả lời bởi chuyên gia
90495 -
Đã trả lời bởi chuyên gia
60475 -
Hỏi từ APP VIETJACK
Đã trả lời bởi chuyên gia
59779 -
Đã trả lời bởi chuyên gia
51365 -
Hỏi từ APP VIETJACK
Đã trả lời bởi chuyên gia
48884 -
Đã trả lời bởi chuyên gia
39205
Gửi báo cáo thành công!
