Quảng cáo
3 câu trả lời 655

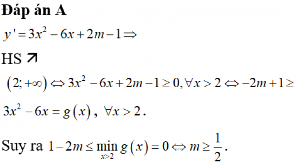
Bạn vẽ bảng biến thiên của 3x^2-6x trên khoảng (2;+∞) là sẽ thấy
Quảng cáo
Bạn cần hỏi gì?
Câu hỏi hot cùng chủ đề
-
Hỏi từ APP VIETJACK
Đã trả lời bởi chuyên gia
129652 -
Đã trả lời bởi chuyên gia
104087 -
Đã trả lời bởi chuyên gia
94063 -
Đã trả lời bởi chuyên gia
69340
Gửi báo cáo thành công!

