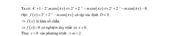
cos nghiệm duy nhất. Số giá trị của tham số m thỏa mãn là
Quảng cáo
1 câu trả lời 466
Quảng cáo
Bạn cần hỏi gì?
Câu hỏi hot cùng chủ đề
-
Hỏi từ APP VIETJACK
Đã trả lời bởi chuyên gia
129652 -
Đã trả lời bởi chuyên gia
104087 -
Đã trả lời bởi chuyên gia
94063 -
Đã trả lời bởi chuyên gia
69340
Gửi báo cáo thành công!


