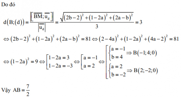
Trong không gian Oxyz, cho mặt phẳng , đường thẳng và điểm A(1/2; 1; 1). Gọi là đường thẳng nằm trong mặt phẳng , song song với d đồng thời cách d một khoảng bằng 3. Đường thẳng cắt mặt phẳng Oxy tại điểm B. Độ dài đoạn thẳng AB bằng
A.
B.
C.
D.
Quảng cáo
1 câu trả lời 438
Quảng cáo
Bạn cần hỏi gì?
Câu hỏi hot cùng chủ đề
-
Hỏi từ APP VIETJACK
Đã trả lời bởi chuyên gia
129652 -
Đã trả lời bởi chuyên gia
104087 -
Đã trả lời bởi chuyên gia
94063 -
Đã trả lời bởi chuyên gia
69340
Gửi báo cáo thành công!



