Quảng cáo
1 câu trả lời 425
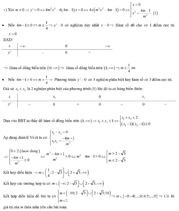
y’=4m^2x^2-4(4m-1)
xét m=0 y’=4x>0 với mọi x thuộc (0;dương vô cùng) suy ra m=0 thỏa mãn

Quảng cáo
Bạn cần hỏi gì?
Câu hỏi hot cùng chủ đề
-
Hỏi từ APP VIETJACK
Đã trả lời bởi chuyên gia
129652 -
Đã trả lời bởi chuyên gia
104087 -
Đã trả lời bởi chuyên gia
94063 -
Đã trả lời bởi chuyên gia
69340
Gửi báo cáo thành công!

