Cho hàm số có đồ thị (C) . Biết rằng với thì đường thẳng cắt tại hai điểm phân biệt. Khi đó a+b bằng:
A. 8
B. 10
C. 6
D. 4
Quảng cáo
1 câu trả lời 212
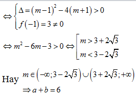
Đáp án C
Phương trình hoành độ giao điểm
Để đường thẳng cắt
tại hai điểm phân biệt thì phương trình (*) có 2 nghiệm phân biệt khác ![]()
Quảng cáo
Bạn cần hỏi gì?
Câu hỏi hot cùng chủ đề
-
Hỏi từ APP VIETJACK
Đã trả lời bởi chuyên gia
129652 -
Đã trả lời bởi chuyên gia
104087 -
Đã trả lời bởi chuyên gia
94063 -
Đã trả lời bởi chuyên gia
69340
Gửi báo cáo thành công!

