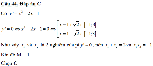
Hàm số đạt giá trị lớn nhất, giá trị nhỏ nhất trên đoạn [-1;3]tại 2 điểm . Tính giá trị của biểu thức
A.
B.
C.
D.
Quảng cáo
1 câu trả lời 304
Quảng cáo
Bạn cần hỏi gì?
Câu hỏi hot cùng chủ đề
-
Hỏi từ APP VIETJACK
Đã trả lời bởi chuyên gia
129662 -
Đã trả lời bởi chuyên gia
104103 -
Đã trả lời bởi chuyên gia
94073 -
Đã trả lời bởi chuyên gia
69393
Gửi báo cáo thành công!

