Quảng cáo
1 câu trả lời 10552
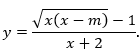
Giải bài toán tiệm cận của hàm số
Phân tích bài toán
Hàm số đã cho:

Mục tiêu: Xác định các giá trị nguyên thuộc khoảng (-10; 10) sao cho đồ thị hàm số có đúng 3 đường tiệm cận.
Điều kiện để có 3 đường tiệm cận
Bước 1: Xét điều kiện của hàm số
- Hàm số có dạng phân thức với mẫu số x + 2, nên hàm số không xác định tại:
x = -2
Đây là một tiệm cận đứng nếu tử số xác định tại x = -2.
Bước 2: Xét tiệm cận ngang
- Tiệm cận ngang phụ thuộc vào bậc của tử số và mẫu số khi
: - Tử số:
-1 khi x có bậc là 1 (do x(x - m) chứa x2, nhưng căn bậc hai làm giảm bậc đi 1). - Mẫu số: x + 2 cũng có bậc 1.
Do bậc của tử số và mẫu số đều là 1, hàm số có tiệm cận ngang khi
:

Khi phân tích tử số và mẫu số:
![]()
- Với
:
![]()
- Với
:
![]()
Do đó, hàm số có 2 tiệm cận ngang y = 1 và y = -1.
Bước 3: Điều kiện để có tiệm cận đứng tại x = -2
Hàm số sẽ có tiệm cận đứng tại x = -2 nếu tử số xác định và khác 0 tại x = -2.
Thay x = -2 vào tử số:

Để biểu thức dưới dấu căn xác định (không âm), ta cần:
![]()
Giải bất phương trình:
![]()
Tổng hợp các điều kiện
Từ các phân tích trên, để hàm số có đúng 3 tiệm cận, cần thỏa mãn các điều kiện:
- m để có tiệm cận đứng tại x = -2,
- thuộc khoảng (-10; 10),
- m là số nguyên.
Xác định số giá trị m
Các giá trị m nguyên thỏa mãn:
![]()
Dãy số nguyên m là:
![]()
Số các giá trị m là 12.
Kết luận
Số giá trị m nguyên thuộc khoảng (-10; 10) để hàm số có đúng 3 đường tiệm cận là:
![]()
Đáp án đúng: A. 12.
Quảng cáo
Bạn cần hỏi gì?
Câu hỏi hot cùng chủ đề
-
Hỏi từ APP VIETJACK
Đã trả lời bởi chuyên gia
129637 -
Đã trả lời bởi chuyên gia
104061 -
Đã trả lời bởi chuyên gia
94054 -
Đã trả lời bởi chuyên gia
69272

