Cho x1 và x2 là hai giá trị thỏa mãn x(5 - 10x) - 3(10x - 5) = 0. Khi đó x1 + x2 bằng ?
Quảng cáo
3 câu trả lời 387
`x(5-10x)-3(10x-5)=0`
`-x(10x-5)-3(10x-5)=0`
`(-x-3)(10x-5)=0`
`-x-3=0` hoặc `10x-5=0`
`-x=3` hoặc `10x=5`
`x=-3` hoặc `x=1/2`
`=>x_1+x_2=-3+1/2=-5/2`
Vậy` x_1+x_2=-5/2`
haruto bé nhỏ
· 4 tháng trước
e cho ad 1tim+5 sao nha
haruto bé nhỏ
· 4 tháng trước
coi như quà nghỉ hưu
$\Huge\color{white}{\text{.}}$
· 4 tháng trước
kêu gọi ng kéo cho ad vs
$\Huge\color{white}{\text{.}}$
· 4 tháng trước
lên 20k điểm ad ước lên dc 4000k tim ms nghỉ hư dc
$\Huge\color{white}{\text{.}}$
· 4 tháng trước
kaka mục tiêu cuối đây
$\Huge\color{white}{\text{.}}$
· 4 tháng trước
gắn bó lâu lắm rồi
$\Huge\color{white}{\text{.}}$
· 4 tháng trước
gần 5 năm rồi
`color{red}text{Tôi là AI và có thể mắc sai sót.`
· 4 tháng trước
ko cho ad nghỉ hưu luôn
vợ juhoon
· 4 tháng trước
tham vọng quá lớn
$\Huge\color{white}{\text{.}}$
· 4 tháng trước
sắp dc rồi ấy
$\Huge\color{white}{\text{.}}$
· 4 tháng trước
hơn 40 lượt tim nx
vợ juhoon
· 4 tháng trước
gần 5 năm rồi=> 5 năm mà mới gần 20k
$\Huge\color{white}{\text{.}}$
· 4 tháng trước
cố làm trụ cột của cái VJ này
$\Huge\color{white}{\text{.}}$
· 4 tháng trước
5 năm mà mới gần 20k `=>` check câu trả lời ní oii
$\Huge\color{white}{\text{.}}$
· 4 tháng trước
oiiko spam
$\Huge\color{white}{\text{.}}$
· 4 tháng trước
tổng số câu trả lời 3494
$\Huge\color{white}{\text{.}}$
· 4 tháng trước
toàn chính xác cao không à
`color{red}text{Tôi là AI và có thể mắc sai sót.`
· 4 tháng trước
gần 5 năm rồi=> 5 năm mà mới gần 20k=>ad thỉnh thoảng mới cày +nhiều lúc ad ko on
$\Huge\color{white}{\text{.}}$
· 4 tháng trước
bỏ 1 năm ấy
$\Huge\color{white}{\text{.}}$
· 4 tháng trước
lâu lâu vào thăm thôi
`color{red}text{Tôi là AI và có thể mắc sai sót.`
· 4 tháng trước
sao bỏ vậy?
$\Huge\color{white}{\text{.}}$
· 4 tháng trước
không có nhiệt huyết thôi bạn
$\Huge\color{white}{\text{.}}$
· 4 tháng trước
dạo này rảnh cố mục tiêu 20k điểm nghỉ
$\Huge\color{white}{\text{.}}$
· 4 tháng trước
lên cái thành tựu cho VJ
$\Huge\color{white}{\text{.}}$
· 4 tháng trước
mai sau qua tết có cập nhật sẽ có tên ad á
$\Huge\color{white}{\text{.}}$
· 4 tháng trước
có phần vinh danh kkk
`color{red}text{Tôi là AI và có thể mắc sai sót.`
· 4 tháng trước
ad phải chăm chỉ chứ
..
· 4 tháng trước
sao mà cs á
haruto bé nhỏ
· 4 tháng trước
cs các cấp bậc nào trong vj v ak
`color{red}text{Tôi là AI và có thể mắc sai sót.`
· 4 tháng trước
vinh danh các ad á
vợ juhoon
· 4 tháng trước
nếu ad nghỉ thì ad định lm j
haruto bé nhỏ
· 4 tháng trước
sống chứ lm j
$\Huge\color{white}{\text{.}}$
· 4 tháng trước
ad qua đấu giải liên quân kakaka
$\Huge\color{white}{\text{.}}$
· 4 tháng trước
hoặc gIải FF
..
· 4 tháng trước
chả lẽ lm 👻
haruto bé nhỏ
· 4 tháng trước
ad lên danh j r🤔r
..
· 4 tháng trước
ad qua đấu giải liên quân kakaka=>xin nick vs ak
`color{red}text{Tôi là AI và có thể mắc sai sót.`
· 4 tháng trước
lm 👻 thật có khi
haruto bé nhỏ
· 4 tháng trước
tg
$\Huge\color{white}{\text{.}}$
· 4 tháng trước
ad lên rank đồng nha
..
· 4 tháng trước
sao ad ... vậy
vợ juhoon
· 4 tháng trước
vl
$\Huge\color{white}{\text{.}}$
· 4 tháng trước
xu hướng quá
$\Huge\color{white}{\text{.}}$
· 4 tháng trước
rủ cả dòng họ tim câu trả lời này đi
..
· 4 tháng trước
ok
`color{red}text{Tôi là AI và có thể mắc sai sót.`
· 4 tháng trước
ok
$\Huge\color{white}{\text{.}}$
· 4 tháng trước
10 tim rồi
$\Huge\color{white}{\text{.}}$
· 4 tháng trước
cố 30 tim bầu ad mới sau nghi tôi nghỉ hưu
$\Huge\color{white}{\text{.}}$
· 4 tháng trước
kkaka
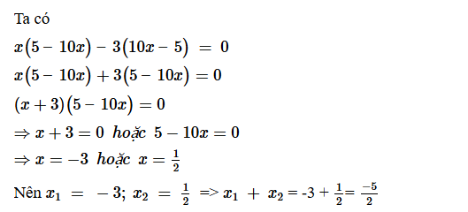
x(5 - 10x) - 3(10x - 5) = 0
x(5 - 10x) + 3(5 - 10x) = 0
(x + 3)(5 - 10x) =0
TH1: x + 3 = 0
x = -3
TH2: 5 - 10x = 0
x =
Vậy x1 + x2 = -3 +
Quảng cáo
Bạn cần hỏi gì?
Câu hỏi hot cùng chủ đề
-
111733
-
Hỏi từ APP VIETJACK
Đã trả lời bởi chuyên gia
72060 -
Đã trả lời bởi chuyên gia
53979 -
Đã trả lời bởi chuyên gia
48286 -
Đã trả lời bởi chuyên gia
47006 -
Đã trả lời bởi chuyên gia
46491 -
Hỏi từ APP VIETJACK
Đã trả lời bởi chuyên gia
41069 -
Đã trả lời bởi chuyên gia
39173
Gửi báo cáo thành công!

``