Cho hình chóp S.ABCD có đáy ABCD là hình bình hành. Gọi I là trung điểm AD, G là trọng tâm tam giác SAD và E là điểm thuộc được sao cho DE = 1/3DC
a) Xác định giao điểm của IE và SBC
b) Chứng minh GE // SBC
Quảng cáo
2 câu trả lời 360

a) Tìm giao điểm của đường thẳng IE và mặt phẳng (SBC)
- Xét đường chéo AC của hình bình hành ABCD:
Vì A, C ∈ ABCD và ABCD là hình bình hành
⇒ AC nằm trong mặt phẳng đáy.
- Lại có: A ∈ AD, C ∈ DC, nên đường thẳng AC cắt cả AD và DC
⇒ AC cắt đoạn IE (vì I ∈ AD, E ∈ DC).
- Gọi M = IE ∩ AC
Ta chứng minh: M ∈ (SBC):
S ∈ (SBC), C ∈ (SBC), và A ∈ AC ⊂ (ABC) ⊂ (SBC)
→ Do đó: M ∈ AC ∩ IE ⊂ (SBC)
=> Giao điểm của IE và mặt phẳng (SBC) là điểm M, với M = IE ∩ AC.
=> Đoạn thẳng GE song song với mặt phẳng (SBC) (đpcm)
- Xét đường chéo AC của hình bình hành ABCD:
Vì A, C ∈ ABCD và ABCD là hình bình hành
⇒ AC nằm trong mặt phẳng đáy.
- Lại có: A ∈ AD, C ∈ DC, nên đường thẳng AC cắt cả AD và DC
⇒ AC cắt đoạn IE (vì I ∈ AD, E ∈ DC).
- Gọi M = IE ∩ AC
Ta chứng minh: M ∈ (SBC):
S ∈ (SBC), C ∈ (SBC), và A ∈ AC ⊂ (ABC) ⊂ (SBC)
→ Do đó: M ∈ AC ∩ IE ⊂ (SBC)
=> Giao điểm của IE và mặt phẳng (SBC) là điểm M, với M = IE ∩ AC.
b) Chứng minh GE // (SBC)


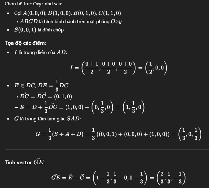
=> Đoạn thẳng GE song song với mặt phẳng (SBC) (đpcm)Bạn cần viết hệ tọa độ rồi giải hệ để tìm giao điểm (phần a).
Tính vector GE và chứng minh nó có thể biểu diễn dưới dạng tổ hợp tuyến tính của các vectơ trong mặt phẳng (SBC)) hoặc song song với mặt phẳng (phần b).
Tính vector GE và chứng minh nó có thể biểu diễn dưới dạng tổ hợp tuyến tính của các vectơ trong mặt phẳng (SBC)) hoặc song song với mặt phẳng (phần b).
Quảng cáo
Bạn cần hỏi gì?
Câu hỏi hot cùng chủ đề
-
Đã trả lời bởi chuyên gia
135811 -
Hỏi từ APP VIETJACK
Đã trả lời bởi chuyên gia
76821 -
Đã trả lời bởi chuyên gia
72481 -
Đã trả lời bởi chuyên gia
47959
Gửi báo cáo thành công!
