Quảng cáo
3 câu trả lời 1137
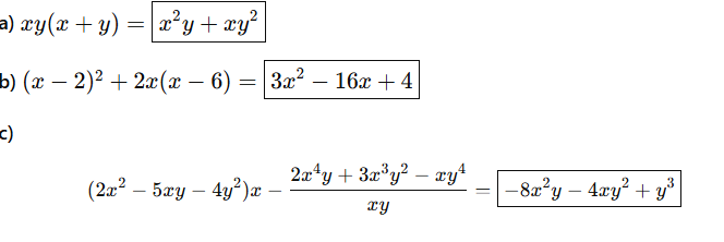
a) xy(x + y)
Ta thực hiện phép nhân phân phối: xy(x + y) = xy.x + xy.y = x2y + xy2
b) (x − 2)2 + 2x(x − 6)
= (x − 2)(x − 2) + 2x2 − 12x
= x2 − 2.2x + 22 + 2x2 − 12x
= x2 − 4x + 4 + 2x2 − 12x
= (x2 + 2x2) + (−4x − 12x) + 4
= 3x2 − 16x + 4
c) (2x2 − 5xy - 4y2)x −
= 2x3 − 5x2y − 4xy2 - (2x3 + 3x2y - y3)
= 2x3 − 5x2y − 4xy2 - 2x3 − 3x2y + y3
= −8x2y − 4xy2 + y3
= −8x2y − 4xy2 + y3
Long Kim
· 3 tháng trước
Cảm ơn ạ
Quảng cáo
Bạn muốn hỏi bài tập?
Câu hỏi hot cùng chủ đề
-
107278
-
Hỏi từ APP VIETJACK67830
-
44998
-
38171
Gửi báo cáo thành công!

