Quảng cáo
3 câu trả lời 254
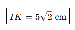
Vì △IHK vuông tại H và
⇒△IHK là tam giác vuông cân tại H.
Suy ra:
IH = HK = 5cm.
Áp dụng định lí Pitago:
IK = ( cm )
IK = ( cm )

đáp án
L.Huy@gmail.com
· 7 tháng trước
=)))
яəlивa
· 7 tháng trước
cgi
яəlивa
· 7 tháng trước
?
L.Huy@gmail.com
· 7 tháng trước
=)))
L.Huy@gmail.com
· 7 tháng trước
Cgi => ko j chán qs m
L.Huy@gmail.com
· 7 tháng trước
Off nha đến h v lớp r
яəlивa
· 7 tháng trước
bb
nhỏ nấm lùn {như}
· 7 tháng trước
hihi
яəlивa
· 7 tháng trước
hí
nhỏ nấm lùn {như}
· 7 tháng trước
cj an à
nhỏ nấm lùn {như}
· 7 tháng trước
acc mới v tr
яəlивa
· 7 tháng trước
mới đou>?
nhỏ nấm lùn {như}
· 7 tháng trước
nhìn nhầm
nhỏ nấm lùn {như}
· 7 tháng trước
bả nãy có acc như thế này mới mò
яəlивa
· 7 tháng trước
2 acc
lazy
· 7 tháng trước
đây hả
nhỏ nấm lùn {như}
· 7 tháng trước
ò
яəlивa
· 7 tháng trước
:))
lên gg nha mik lười qs ko muốn coppy
Sen Oc
· 7 tháng trước
mình tìm ko có thấy ạ
L.Huy@gmail.com
· 7 tháng trước
=))) như ơi
L.Huy@gmail.com
· 7 tháng trước
Thoi khỏi ik
L.Huy@gmail.com
· 7 tháng trước
T ik hc
L.Huy@gmail.com
· 7 tháng trước
Bb =)))
nhỏ nấm lùn {như}
· 7 tháng trước
ukuk
nhỏ nấm lùn {như}
· 7 tháng trước
bb
nhỏ nấm lùn {như}
· 7 tháng trước
gọi t xog ik hc thật vcl
nhỏ nấm lùn {như}
· 7 tháng trước
???
nhỏ nấm lùn {như}
· 7 tháng trước
12h12 ik hc dou h này m
L.Huy@gmail.com
· 7 tháng trước
12h15 t vào lớp r m
nhỏ nấm lùn {như}
· 7 tháng trước
vãi cớt
nhỏ nấm lùn {như}
· 7 tháng trước
t 2h mới hc
nhỏ nấm lùn {như}
· 7 tháng trước
gọi j v
яəlивa
· 7 tháng trước
vl thật
Quảng cáo
Bạn cần hỏi gì?
Câu hỏi hot cùng chủ đề
-
112247
-
Hỏi từ APP VIETJACK
Đã trả lời bởi chuyên gia
72846 -
Đã trả lời bởi chuyên gia
54086 -
Đã trả lời bởi chuyên gia
48368 -
Đã trả lời bởi chuyên gia
47281 -
Đã trả lời bởi chuyên gia
46585 -
Hỏi từ APP VIETJACK
Đã trả lời bởi chuyên gia
41265 -
Đã trả lời bởi chuyên gia
39282
Gửi báo cáo thành công!
