Quảng cáo
2 câu trả lời 219
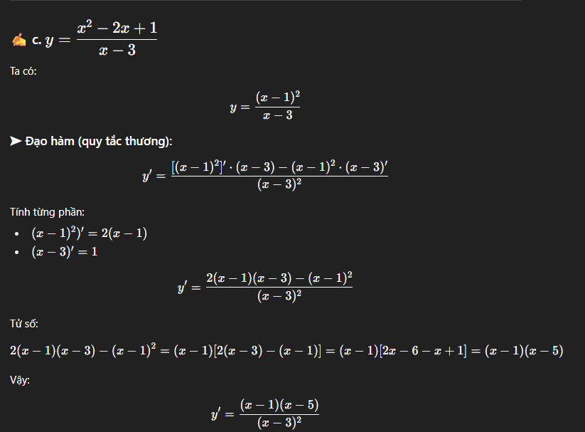
Bạn tham khảo bài làm nhé !!



*undef : không xác định => || nhé
Quảng cáo
Bạn cần hỏi gì?
Câu hỏi hot cùng chủ đề
-
Hỏi từ APP VIETJACK
Đã trả lời bởi chuyên gia
130114 -
Đã trả lời bởi chuyên gia
104668 -
Đã trả lời bởi chuyên gia
94564 -
Đã trả lời bởi chuyên gia
71848
Gửi báo cáo thành công!

