Ngọc Linh Nguyễn
Hỏi từ APP VIETJACK
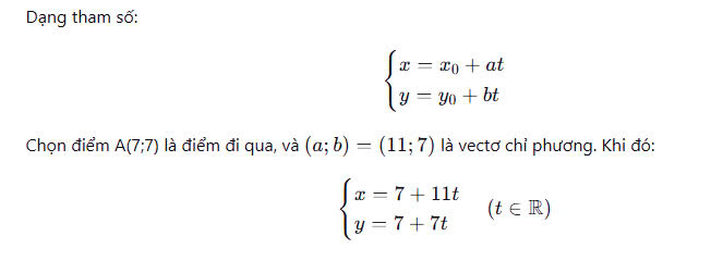
Trong mặt phẳng tọa độ Oxy cho A(7;7), B(18;14) viết phươnh trình tham số và phương trình tổng quát của đường thẳng AB
Quảng cáo
1 câu trả lời 120
Quảng cáo
Bạn cần hỏi gì?
Câu hỏi hot cùng chủ đề
-
Đã trả lời bởi chuyên gia
90517 -
Đã trả lời bởi chuyên gia
60499 -
Hỏi từ APP VIETJACK
Đã trả lời bởi chuyên gia
59793 -
Đã trả lời bởi chuyên gia
51377 -
Hỏi từ APP VIETJACK
Đã trả lời bởi chuyên gia
48902 -
Đã trả lời bởi chuyên gia
39218
Gửi báo cáo thành công!


