Hoàng Thị Hà
Hỏi từ APP VIETJACK
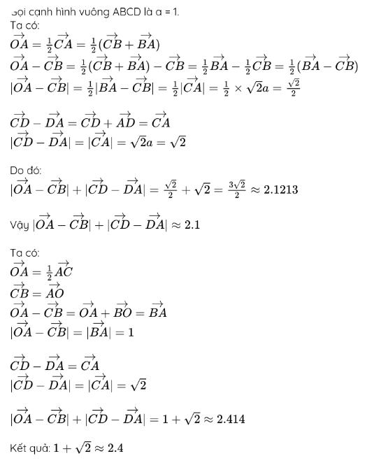
Cho hình vuông ABCD có tâm là O và cạnh 1 . Tính | vecto OA- vecto CB|+| vecto CD- vecto DA|?
Kết quả làm tròn đến hàng phần mười
Quảng cáo
1 câu trả lời 2978
Quảng cáo
Bạn cần hỏi gì?
Câu hỏi hot cùng chủ đề
-
Đã trả lời bởi chuyên gia
89168 -
Đã trả lời bởi chuyên gia
59837 -
Hỏi từ APP VIETJACK
Đã trả lời bởi chuyên gia
59098 -
Đã trả lời bởi chuyên gia
50887 -
Hỏi từ APP VIETJACK
Đã trả lời bởi chuyên gia
48368 -
Đã trả lời bởi chuyên gia
38618
Gửi báo cáo thành công!

