Hồng Vân Đặng
Hỏi từ APP VIETJACK
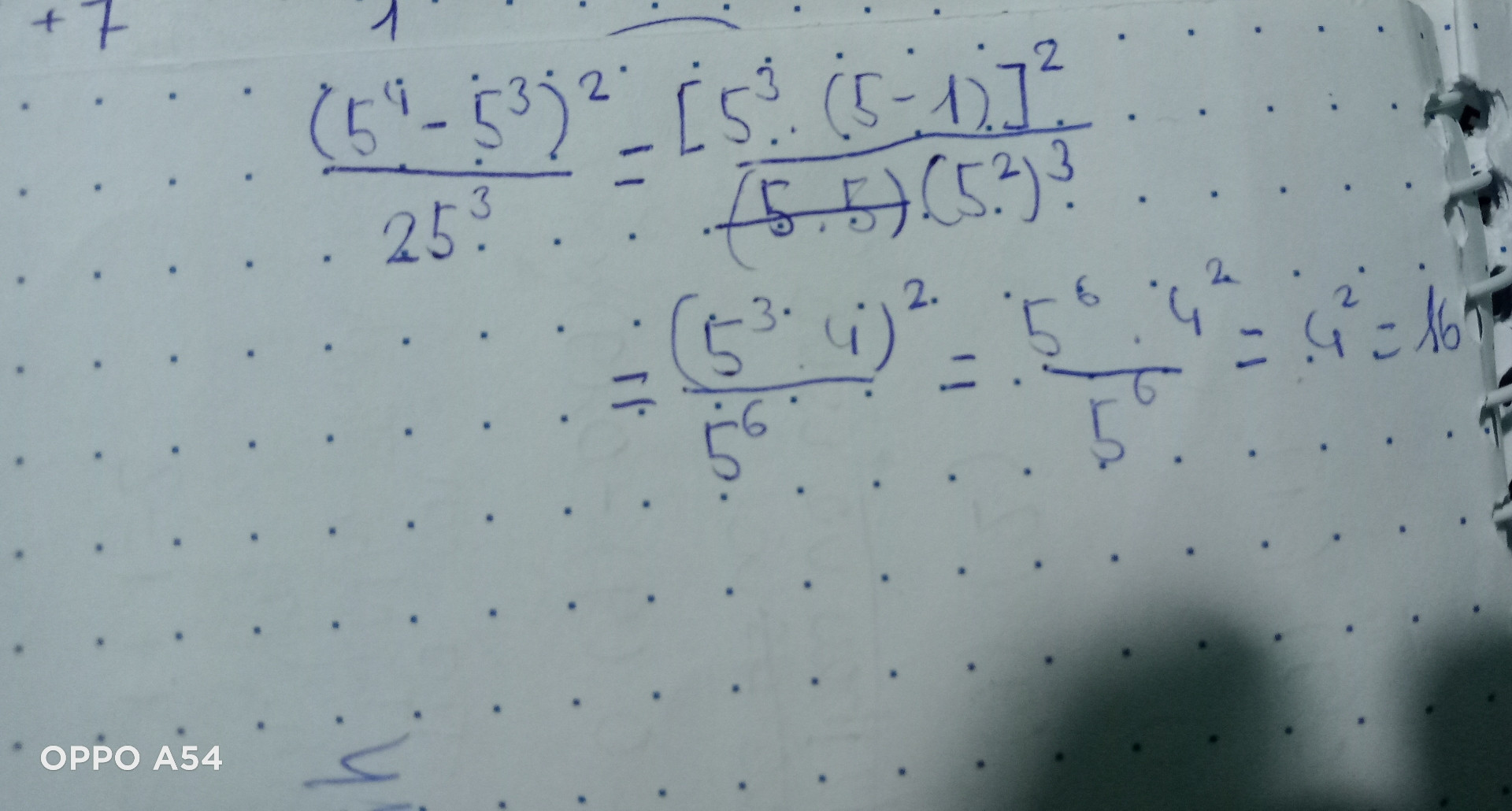
(5⁴-5³)² phần 25³
Quảng cáo
2 câu trả lời 162
biểu thức: \(\frac{(5^4 - 5^3)^2}{25^3}\).
Tính \(5^4 - 5^3\)
\[
5^4 = 625, \quad 5^3 = 125
\]
\[
5^4 - 5^3 = 625 - 125 = 500
\]
Bình phương
\[
(5^4 - 5^3)^2 = 500^2 = 250000
\]
Tính mẫu số \(25^3\)
\[
25 = 5^2 \quad \Rightarrow \quad 25^3 = (5^2)^3 = 5^{2 \times 3} = 5^6
\]
Biến đổi phân số
\[
\frac{(5^4 - 5^3)^2}{25^3} = \frac{250000}{5^6}
\]
Ta viết \(250000\) dưới dạng lũy thừa của 5:
\[
250000 = 5^6 \quad \text{(vì \(500 = 5^3 \Rightarrow 500^2 = (5^3)^2 = 5^6\))}.
\]
Khi đó:
\[
\frac{250000}{5^6} = \frac{5^6}{5^6} = 1
\]
Quảng cáo
Bạn cần hỏi gì?
Câu hỏi hot cùng chủ đề
-
Hỏi từ APP VIETJACK136339
-
Đã trả lời bởi chuyên gia
84391 -
Đã trả lời bởi chuyên gia
64586 -
Đã trả lời bởi chuyên gia
40927 -
Đã trả lời bởi chuyên gia
38298
Gửi báo cáo thành công!
