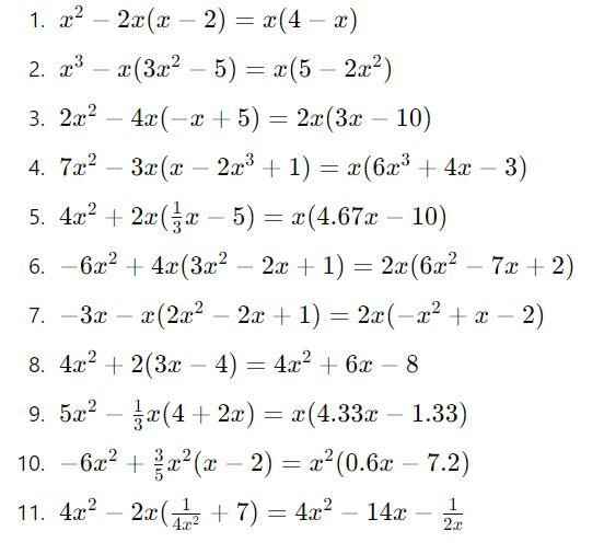
Bài 2: rút gọn biểu thức
x² - 2x(x - 2)
x³ - x(3x² - 5)
2x² - 4x(-x + 5)
7x² - 3x(x - 2x³ + 1)
4x² + 2x(x - 5)
-6x² + 4x(3x² - 2x + 1)
-3x - x(2x² - 2x + 1)
4x² + 2(3x - 4)
5x²-1/3x(4+2x)
-6x²+3/5x²(x-2)
4x²-2x(1/4x²+7)
Quảng cáo
3 câu trả lời 228
1. \( x^2 - 2x(x - 2) \):
\[
x^2 - 2x(x - 2) = x^2 - 2x^2 + 4x = -x^2 + 4x
\]
2. \( x^3 - x(3x^2 - 5) \):
\[
x^3 - x(3x^2 - 5) = x^3 - 3x^3 + 5x = -2x^3 + 5x
\]
3. \( 2x^2 - 4x(-x + 5) \):
\[
2x^2 - 4x(-x + 5) = 2x^2 + 4x^2 - 20x = 6x^2 - 20x
\]
4. \( 7x^2 - 3x(x - 2x^3 + 1) \):
\[
7x^2 - 3x(x - 2x^3 + 1) = 7x^2 - 3x^2 + 6x^4 - 3x = 6x^4 + 4x^2 - 3x
\]
5. \( 4x^2 + 2x\left(\frac{1}{3}x - 5\right) \):
\[
4x^2 + 2x\left(\frac{1}{3}x - 5\right) = 4x^2 + \frac{2}{3}x^2 - 10x = \frac{14}{3}x^2 - 10x
\]
6. \( -6x^2 + 4x(3x^2 - 2x + 1) \):
\[
-6x^2 + 4x(3x^2 - 2x + 1) = -6x^2 + 12x^3 - 8x^2 + 4x = 12x^3 - 14x^2 + 4x
\]
7. \( -3x - x(2x^2 - 2x + 1) \):
\[
-3x - x(2x^2 - 2x + 1) = -3x - 2x^3 + 2x^2 - x = -2x^3 + 2x^2 - 4x
\]
8. \( 4x^2 + 2(3x - 4) \):
\[
4x^2 + 2(3x - 4) = 4x^2 + 6x - 8
\]
9. \( 5x^2 - \frac{1}{3}x(4 + 2x) \):
\[
5x^2 - \frac{1}{3}x(4 + 2x) = 5x^2 - \frac{4}{3}x - \frac{2}{3}x^2 = \frac{13}{3}x^2 - \frac{4}{3}x
\]
10. \( -6x^2 + \frac{3}{5}x^2(x - 2) \):
\[
-6x^2 + \frac{3}{5}x^2(x - 2) = -6x^2 + \frac{3}{5}x^3 - \frac{6}{5}x^2 = \frac{3}{5}x^3 - \frac{36}{5}x^2
\]
11.\( 4x^2 - 2x\left(\frac{1}{4}x^2 + 7\right) \):
\[ 4x^2 - \frac{1}{2}x^3 - 14x \]
Quảng cáo
Bạn cần hỏi gì?
Câu hỏi hot cùng chủ đề
-
107971
-
Hỏi từ APP VIETJACK
Đã trả lời bởi chuyên gia
68731 -
Đã trả lời bởi chuyên gia
53018 -
Đã trả lời bởi chuyên gia
47519 -
Đã trả lời bởi chuyên gia
45631 -
Đã trả lời bởi chuyên gia
45278 -
Hỏi từ APP VIETJACK
Đã trả lời bởi chuyên gia
38679 -
Đã trả lời bởi chuyên gia
38337


