Một tổ dự định may 120 cái áo trong một thời gian nhất định. Do cải thiến kỹ thuật, tổ may tăng năng suất mỗi ngày 3 cái áo nên xong trước thời hạn 2 ngày. Tính thời gian dự định hoàn thành công việc của tổ.
Quảng cáo
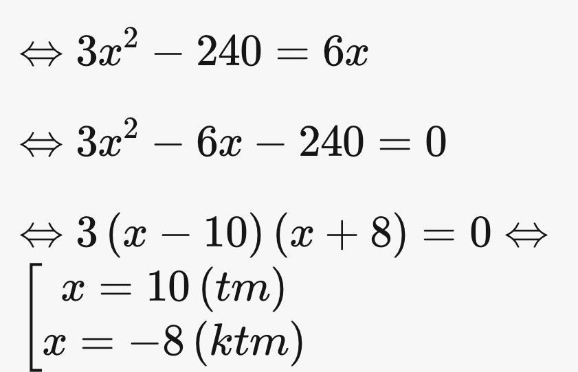
2 câu trả lời 5304
Gọi \( x \) là số ngày dự kiến để hoàn thành công việc.
Theo thông tin đề bài:
- Trong \( x \) ngày, tổ may sẽ sản xuất được \( 120 \) cái áo.
- Do cải thiện kỹ thuật, tổ may tăng năng suất mỗi ngày \( 3 \) cái áo, nên tổ may sẽ hoàn thành công việc trước thời hạn \( 2 \) ngày.
Ta có phương trình:
\[ x - 2 = \frac{120}{3x} \]
Giải phương trình này ta sẽ tìm được giá trị của \( x \), tức là thời gian dự định hoàn thành công việc của tổ.
Giải phương trình:
\[ x - 2 = \frac{120}{3x} \]
\[ 3x(x - 2) = 120 \]
\[ 3x^2 - 6x - 120 = 0 \]
\[ x^2 - 2x - 40 = 0 \]
Sử dụng công thức giải phương trình bậc hai:
\[ x = \frac{-b \pm \sqrt{b^2 - 4ac}}{2a} \]
\[ x = \frac{2 \pm \sqrt{(-2)^2 - 4 \times 1 \times (-40)}}{2 \times 1} \]
\[ x = \frac{2 \pm \sqrt{4 + 160}}{2} \]
\[ x = \frac{2 \pm \sqrt{164}}{2} \]
\[ x = \frac{2 \pm 2\sqrt{41}}{2} \]
\[ x = 1 \pm \sqrt{41} \]
Vì \( x \) phải là một số nguyên dương, nên ta chọn giá trị dương:
\[ x = 1 + \sqrt{41} \]
Vậy, thời gian dự định hoàn thành công việc của tổ là \( 1 + \sqrt{41} \) ngày.
Quảng cáo
Bạn cần hỏi gì?
Câu hỏi hot cùng chủ đề
-
107593
-
Hỏi từ APP VIETJACK
Đã trả lời bởi chuyên gia
68300 -
Đã trả lời bởi chuyên gia
52884 -
Đã trả lời bởi chuyên gia
47390 -
Đã trả lời bởi chuyên gia
45461 -
Đã trả lời bởi chuyên gia
45109 -
Hỏi từ APP VIETJACK
Đã trả lời bởi chuyên gia
38488 -
Đã trả lời bởi chuyên gia
38230


