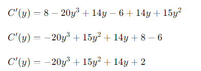
C(y)= 8y-5y^4+7y^2-6y+7y^2+5y^3-2
Quảng cáo
1 câu trả lời 94
Quảng cáo
Bạn cần hỏi gì?
Câu hỏi hot cùng chủ đề
-
Hỏi từ APP VIETJACK129672
-
Đã trả lời bởi chuyên gia
84164 -
Đã trả lời bởi chuyên gia
64286 -
Đã trả lời bởi chuyên gia
40786 -
Đã trả lời bởi chuyên gia
38058
Gửi báo cáo thành công!

