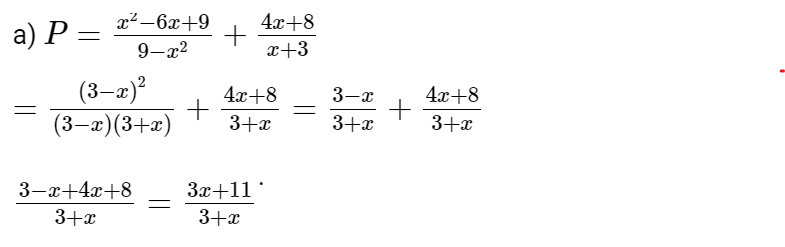
Cho biểu thức b = x^2 - 6X + 9 trên 9 - x^2 + 4X + 8/x + 3 a, tìm điều kiện xác định của biểu thức b
Quảng cáo
2 câu trả lời 178
Để tìm điều kiện xác định của biểu thức b, chúng ta cần xác định những giá trị của x mà làm cho mẫu của biểu thức không bằng 0. Ta sẽ giải phương trình:
Ấn máy tính Casio để ra đc nghiệm x, điều này làm xác định vùng giá trị của x mà khi thay vào biểu thức, mẫu không bằng 0.
Quảng cáo
Bạn cần hỏi gì?
Câu hỏi hot cùng chủ đề
-
110967
-
Hỏi từ APP VIETJACK
Đã trả lời bởi chuyên gia
70975 -
Đã trả lời bởi chuyên gia
53758 -
Đã trả lời bởi chuyên gia
48084 -
Đã trả lời bởi chuyên gia
46542 -
Đã trả lời bởi chuyên gia
46269 -
Hỏi từ APP VIETJACK
Đã trả lời bởi chuyên gia
40682 -
Đã trả lời bởi chuyên gia
38957
Gửi báo cáo thành công!

