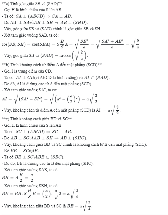
a) Tính góc giữa SB và (SAD).
b) Tính khoảng cách từ điểm A đến mặt phẳng (SCD).
c) Tính khoảng cách giữa BD và SC.
Quảng cáo
2 câu trả lời 341
## Giải bài toán về hình chóp S.ABCD
**a) Tính góc giữa SB và (SAD)**
- Gọi H là hình chiếu của S lên AB.
- Ta có: `SA ⊥ (ABCD) ⇒ SA ⊥ AB.`
- Do AB `⊥ SA và AB ⊥ SH ⇒ AB ⊥ (SHD).`
- Vậy, góc giữa SB và (SAD) chính là góc giữa SB và SH.
- Xét tam giác vuông SAB, ta có:
`cos(SB, SH) = cos(SBA) = SB/SA = √(SB²)/a = √(SA² + AB²) / a = √2/a`
- Vậy, góc giữa SB và `(SAD) = arccos(√2/a).`
**b) Tính khoảng cách từ điểm A đến mặt phẳng (SCD)**
- Gọi I là trung điểm của CD.
- Ta có: `AI ⊥ CD `(vì ABCD là hình vuông) và `AI ⊂ (SAD).`
- Do đó, AI là đường cao từ A đến mặt phẳng (SCD).
- Xét tam giác vuông SAI, ta có:
`AI = √(SA² - SI²) = √(a² - (a/2)²) = a√3/2`
- Vậy, khoảng cách từ điểm A đến mặt phẳng (SCD) là AI `= a√3/2.`
**c) Tính khoảng cách giữa BD và SC**
- Gọi H là hình chiếu của S lên AB.
- Ta có: `SC ⊥ (ABCD) ⇒ SC ⊥ AB.`
- Do `AB ⊥ SC và AB ⊥ SH ⇒ AB ⊥ (SHC).`
- Vậy, khoảng cách giữa BD và SC chính là khoảng cách từ B đến mặt phẳng (SHC).
- Kẻ `BE ⊥ SC tại E.`
- Ta có:` BE ⊥ SC và BE ⊂ (SBC).`
- Do đó, BE là đường cao từ B đến mặt phẳng (SHC).
- Xét tam giác vuông SAB, ta có:
`BH = AB/2 = a/2`
- Xét tam giác vuông SBH, ta có:
`BE = BH.SH/SB = (a/2).a/√2 = a√2/4`
- Vậy, khoảng cách giữa BD và SC là `BE = a√2/4.`
Quảng cáo
Bạn cần hỏi gì?
Câu hỏi hot cùng chủ đề
-
Đã trả lời bởi chuyên gia
135709 -
Hỏi từ APP VIETJACK
Đã trả lời bởi chuyên gia
76766 -
Đã trả lời bởi chuyên gia
72420 -
Đã trả lời bởi chuyên gia
47919

