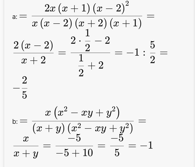
a)P=(2x^2+2x).(2-x)^2
—————————-
(x^3-4x).(x+1)
Với x=0,5
b)Q=x^3-x^2y+xy^2
————————-
x^3+y^3
Với x=-5;y=10
Các bạn giúp mình hai phần nay với ạ.Mình cảm ơn🍀🍀🍀🍀🦋🦋
—————————-
(x^3-4x).(x+1)
Với x=0,5
b)Q=x^3-x^2y+xy^2
————————-
x^3+y^3
Với x=-5;y=10
Các bạn giúp mình hai phần nay với ạ.Mình cảm ơn🍀🍀🍀🍀🦋🦋
Quảng cáo
1 câu trả lời 116
Quảng cáo
Bạn cần hỏi gì?
Câu hỏi hot cùng chủ đề
-
107593
-
Hỏi từ APP VIETJACK
Đã trả lời bởi chuyên gia
68300 -
Đã trả lời bởi chuyên gia
52884 -
Đã trả lời bởi chuyên gia
47390 -
Đã trả lời bởi chuyên gia
45461 -
Đã trả lời bởi chuyên gia
45109 -
Hỏi từ APP VIETJACK
Đã trả lời bởi chuyên gia
38488 -
Đã trả lời bởi chuyên gia
38230
Gửi báo cáo thành công!

