THANH NGUYEN
Hỏi từ APP VIETJACK
Tìm b nguyên để tại đó giá trị của mỗi biểu thức sau là một số nguyên:
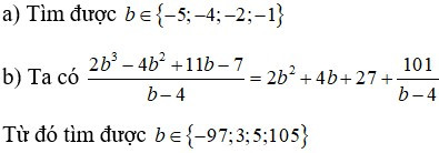
a) bb+3bb+3 với b≠−3;b≠−3;
b) 2b3−4b2+11b−7b−42b3−4b2+11b−7b−4 với b≠4
a) bb+3bb+3 với b≠−3;b≠−3;
b) 2b3−4b2+11b−7b−42b3−4b2+11b−7b−4 với b≠4
Quảng cáo
1 câu trả lời 132
Quảng cáo
Bạn cần hỏi gì?
Câu hỏi hot cùng chủ đề
-
107593
-
Hỏi từ APP VIETJACK
Đã trả lời bởi chuyên gia
68300 -
Đã trả lời bởi chuyên gia
52884 -
Đã trả lời bởi chuyên gia
47390 -
Đã trả lời bởi chuyên gia
45461 -
Đã trả lời bởi chuyên gia
45109 -
Hỏi từ APP VIETJACK
Đã trả lời bởi chuyên gia
38488 -
Đã trả lời bởi chuyên gia
38230
Gửi báo cáo thành công!

