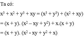
x3 + x2 + y3 + xy
Quảng cáo
2 câu trả lời 274
Quảng cáo
Bạn cần hỏi gì?
Câu hỏi hot cùng chủ đề
-
112698
-
Hỏi từ APP VIETJACK
Đã trả lời bởi chuyên gia
73355 -
Đã trả lời bởi chuyên gia
54268 -
Đã trả lời bởi chuyên gia
48519 -
Đã trả lời bởi chuyên gia
47552 -
Đã trả lời bởi chuyên gia
46757 -
Hỏi từ APP VIETJACK
Đã trả lời bởi chuyên gia
41470 -
Đã trả lời bởi chuyên gia
39449
Gửi báo cáo thành công!

