Quảng cáo
4 câu trả lời 1203
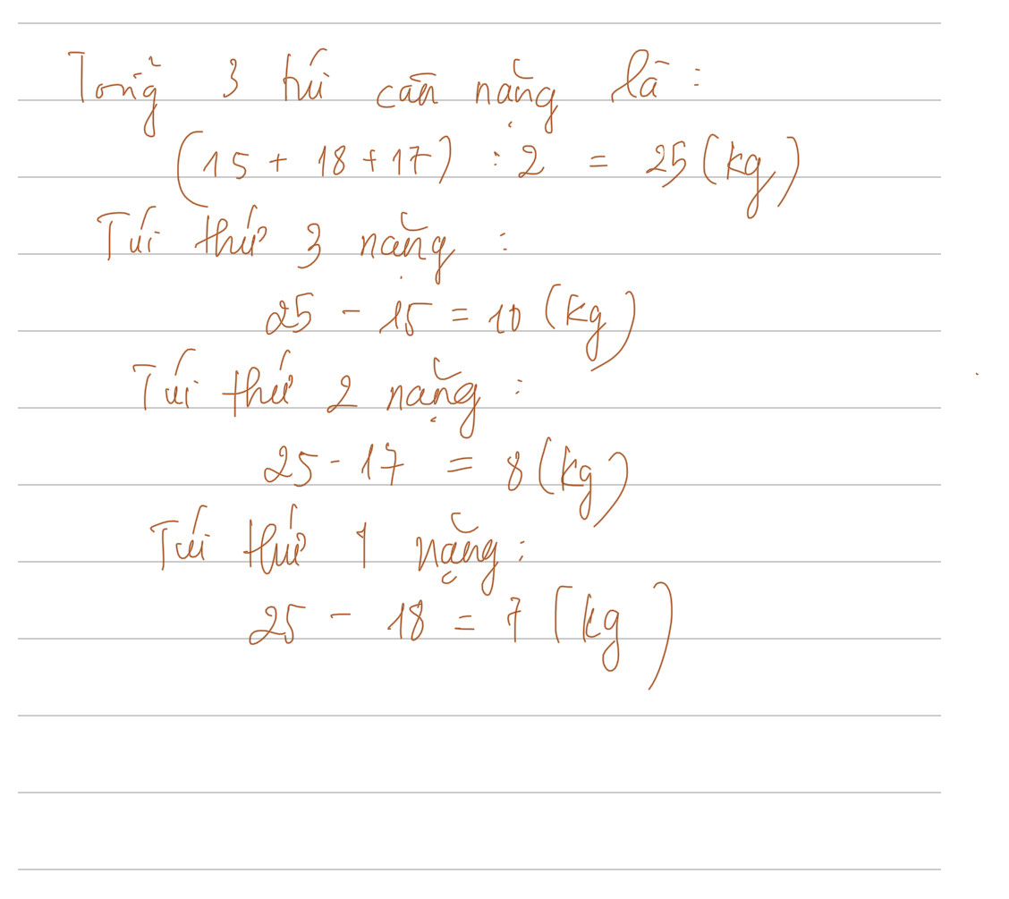
Hai lần tổng số ki - lô - gam của 3 túi gạo đó là :
15 + 17 + 18 = 50 (kg)
3 túi gạo cân nặng số ki - lô - gam là :
50 : 2 = 25 (kg)
Túi gạo thứ ba cân nặng số ki - lô - gam là :
25 - 15 = 10 (kg)
Túi gạo thứ nhất cân nặng số ki -lô - gam là :
17 - 10 = 7 (kg)
Túi gạo thứ hai cân nặng số ki - lô - gam là :
18 - 10 = 8 (kg)
Đáp số : Túi gạo thứ nhất : 7kg gạo
Túi gạo thứ hai : 8 kg gạo
Túi gạo thứ ba : 10 kg gạo
Hai lần tổng số ki - lô - gam của 3 túi gạo đó là :
15 + 17 + 18 = 50 (kg)
3 túi gạo cân nặng số ki - lô - gam là :
50 : 2 = 25 (kg)
Túi gạo thứ ba cân nặng số ki - lô - gam là :
25 - 15 = 10 (kg)
Túi gạo thứ nhất cân nặng số ki -lô - gam là :
17 - 10 = 7 (kg)
Túi gạo thứ hai cân nặng số ki - lô - gam là :
18 - 10 = 8 (kg)
Đáp số : Túi gạo thứ nhất : 7kg gạo
Túi gạo thứ hai : 8 kg gạo
Túi gạo thứ ba : 10 kg gạo
Hai lần tổng số ki - lô - gam của 3 túi gạo đó là :
15 + 17 + 18 = 50 (kg)
3 túi gạo cân nặng số ki - lô - gam là :
50 : 2 = 25 (kg)
Túi gạo thứ ba cân nặng số ki - lô - gam là :
25 - 15 = 10 (kg)
Túi gạo thứ nhất cân nặng số ki -lô - gam là :
17 - 10 = 7 (kg)
Túi gạo thứ hai cân nặng số ki - lô - gam là :
18 - 10 = 8 (kg)
Đáp số : Túi gạo thứ nhất : 7kg gạo
Túi gạo thứ hai : 8 kg gạo
Túi gạo thứ ba : 10 kg gạo
Quảng cáo
Bạn cần hỏi gì?
Câu hỏi hot cùng chủ đề
-
Đã trả lời bởi chuyên gia
72783 -
Hỏi từ APP VIETJACK
Đã trả lời bởi chuyên gia
31318 -
Đã trả lời bởi chuyên gia
Số thích hợp viết vào chỗ chấm để 45m2 6cm2 = ........... cm2 là:
A. 456
B. 4506
C. 456 000
D. 450 006
28541 -
Hỏi từ APP VIETJACK
Đã trả lời bởi chuyên gia
27473 -
Đã trả lời bởi chuyên gia
25072 -
Hỏi từ APP VIETJACK
Đã trả lời bởi chuyên gia
24917
