Duowng Hùng Anh
Hỏi từ APP VIETJACK
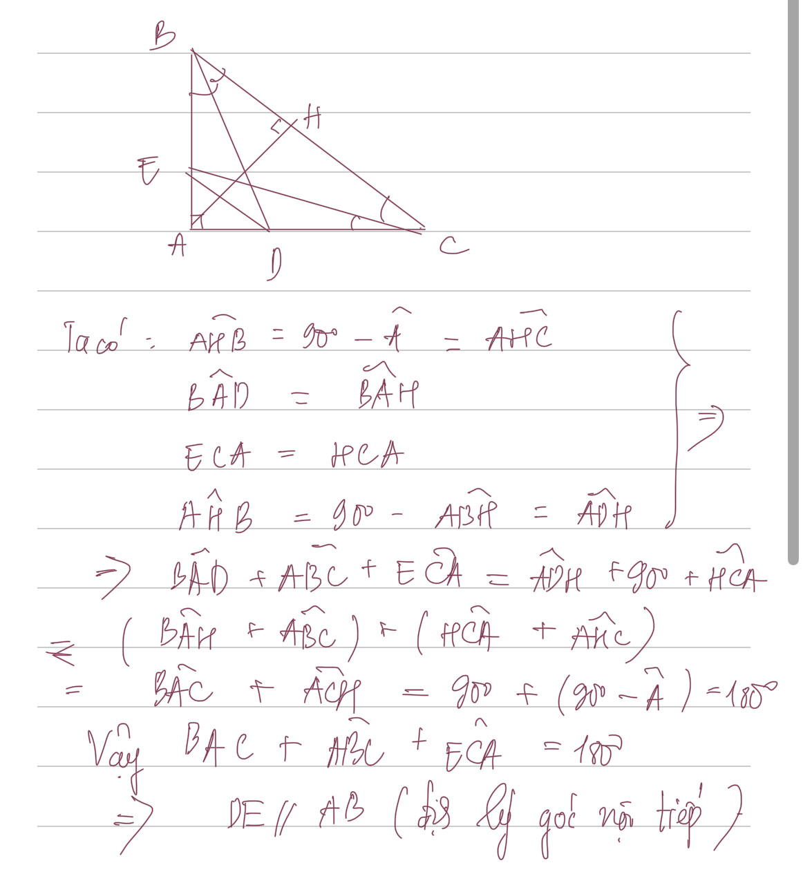
Tam giác ABC,A=90⁰.
Đường cao AH,AD là phân giác tam giác ABH.
CE là đường phân giác tam giác ACH.
Chứng minh:DE song song AB
Đường cao AH,AD là phân giác tam giác ABH.
CE là đường phân giác tam giác ACH.
Chứng minh:DE song song AB
Quảng cáo
2 câu trả lời 158
2 năm trước
Ta có:
- Góc AHB = 90° - Góc A = Góc AHC
- Góc BAD = Góc BAH (do AD là phân giác ABH)
- Góc ECA = Góc HCA (do CE là đường phân giác ACH)
Vì AH là đường cao trong tam giác ABH, nên ta có:
- Góc AHB = 90° - Góc ABH = Góc ADH
Từ các góc trên, ta có thể suy ra:
- Góc BAD + Góc ABC + Góc ECA = Góc ADH + 90° + Góc HCA
= (Góc BAH + Góc ABC) + (Góc HCA + Góc AHC)
= Góc BAC + Góc ACH = 90° + (90° - Góc A) = 180°
Vậy ta có: Góc BAD + Góc ABC + Góc ECA = 180°
Do đó, theo định lí góc nội tiếp, ta có DE song song với AB.
Vậy chứng minh đã được hoàn thành.
Quảng cáo
Câu hỏi hot cùng chủ đề
-
Hỏi từ APP VIETJACK119530
-
80215
-
58339
Gửi báo cáo thành công!
