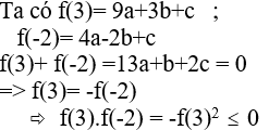
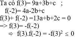
cho đa thức f(x)=ax2+bx+c. biết 21a-3b+5c=0
chứng minh: f(1).f(-3)≤0
Quảng cáo
2 câu trả lời 899
Quảng cáo
Bạn cần hỏi gì?
Câu hỏi hot cùng chủ đề
-
Hỏi từ APP VIETJACK120962
-
Đã trả lời bởi chuyên gia
81713 -
Đã trả lời bởi chuyên gia
59651 -
Đã trả lời bởi chuyên gia
39669
Gửi báo cáo thành công!

