Dang Nguyen
Hỏi từ APP VIETJACK
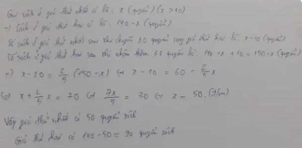
Hai giá sách có 140 quyển sách nếu chuyển 5 quyển từ giá thứ nhất sang giá thứ hai thì số sách pử giá thứ nhất bằng 3/4 số sách ở giá thứ hai. Tính số sách ở mỗi giá sách
Trang
· 3 năm trước
Hai giá sách có 2024 quyển sách nếu chuyển 12 quyển từ giá thứ nhất sang giá thứ hai thì sách hai giá bằng nhau. Tìm số sách ban đầu ở mỗi giá
Quảng cáo
1 câu trả lời 741
Quảng cáo
Bạn cần hỏi gì?
Câu hỏi hot cùng chủ đề
-
111733
-
Hỏi từ APP VIETJACK
Đã trả lời bởi chuyên gia
72060 -
Đã trả lời bởi chuyên gia
53979 -
Đã trả lời bởi chuyên gia
48286 -
Đã trả lời bởi chuyên gia
47006 -
Đã trả lời bởi chuyên gia
46491 -
Hỏi từ APP VIETJACK
Đã trả lời bởi chuyên gia
41069 -
Đã trả lời bởi chuyên gia
39173
Gửi báo cáo thành công!

