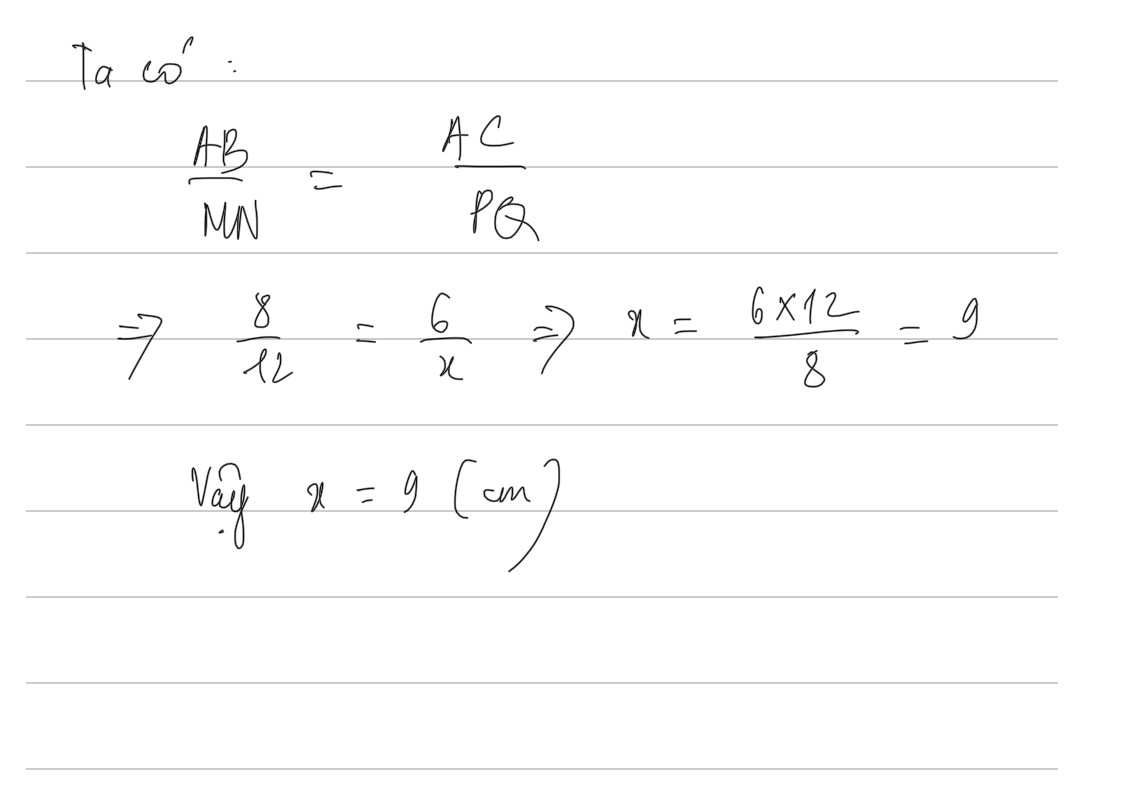
cho các đoạn thẳng ab=8cm, AC=6cm , mn=12cm ,pq=xcm Tìm x để AB và CD tỉ lệ với MN và PQ? có hình
Phát Đinh
· 2 năm trước
vẽ hình giúp vớiiii
Quảng cáo
2 câu trả lời 216
2 năm trước
Quảng cáo
Bạn muốn hỏi bài tập?
Câu hỏi hot cùng chủ đề
Gửi báo cáo thành công!
