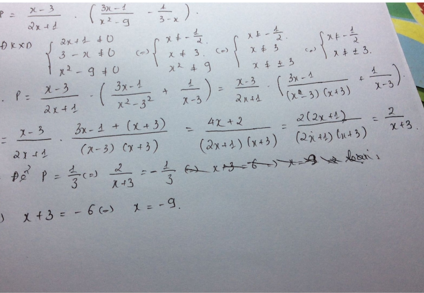
cho biểu thức N=
a. tìm điều kiện xác định của N
b. rút gọn N
c. tìm x để N=
Quảng cáo
1 câu trả lời 267
Quảng cáo
Bạn muốn hỏi bài tập?
Câu hỏi hot cùng chủ đề
Gửi báo cáo thành công!
cho biểu thức N=
a. tìm điều kiện xác định của N
b. rút gọn N
c. tìm x để N=
Quảng cáo
Quảng cáo
Bạn muốn hỏi bài tập?