Nguyen Quỳnh Như
Hỏi từ APP VIETJACK
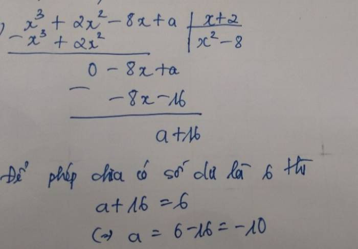
Tìm a sao cho x³+2x²-8x+a chia cho x + 2 có số dư là 6
Quảng cáo
1 câu trả lời 110
Quảng cáo
Bạn cần hỏi gì?
Câu hỏi hot cùng chủ đề
-
111512
-
Hỏi từ APP VIETJACK
Đã trả lời bởi chuyên gia
71651 -
Đã trả lời bởi chuyên gia
53938 -
Đã trả lời bởi chuyên gia
48241 -
Đã trả lời bởi chuyên gia
46881 -
Đã trả lời bởi chuyên gia
46443 -
Hỏi từ APP VIETJACK
Đã trả lời bởi chuyên gia
40943 -
Đã trả lời bởi chuyên gia
39125
Gửi báo cáo thành công!


..