Phạm Minh Hồng Ngọc
Hỏi từ APP VIETJACK
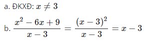
Cho phân thức: A=x²-6x+9 (x+3) (x-3)
1) Tìm điều kiện để phân thức được xác định.
2) Rút gọn phân thức.
1) Tìm điều kiện để phân thức được xác định.
2) Rút gọn phân thức.
Quảng cáo
1 câu trả lời 136
Quảng cáo
Bạn cần hỏi gì?
Câu hỏi hot cùng chủ đề
-
111733
-
Hỏi từ APP VIETJACK
Đã trả lời bởi chuyên gia
72060 -
Đã trả lời bởi chuyên gia
53979 -
Đã trả lời bởi chuyên gia
48286 -
Đã trả lời bởi chuyên gia
47006 -
Đã trả lời bởi chuyên gia
46491 -
Hỏi từ APP VIETJACK
Đã trả lời bởi chuyên gia
41069 -
Đã trả lời bởi chuyên gia
39173
Gửi báo cáo thành công!

