Quảng cáo
2 câu trả lời 294
1. Đáp án là x = -
Câu trả lời: https://www.cymath.com/answer?q=x(2x-1)-(x%2B3)(2x%2B5)%3D0
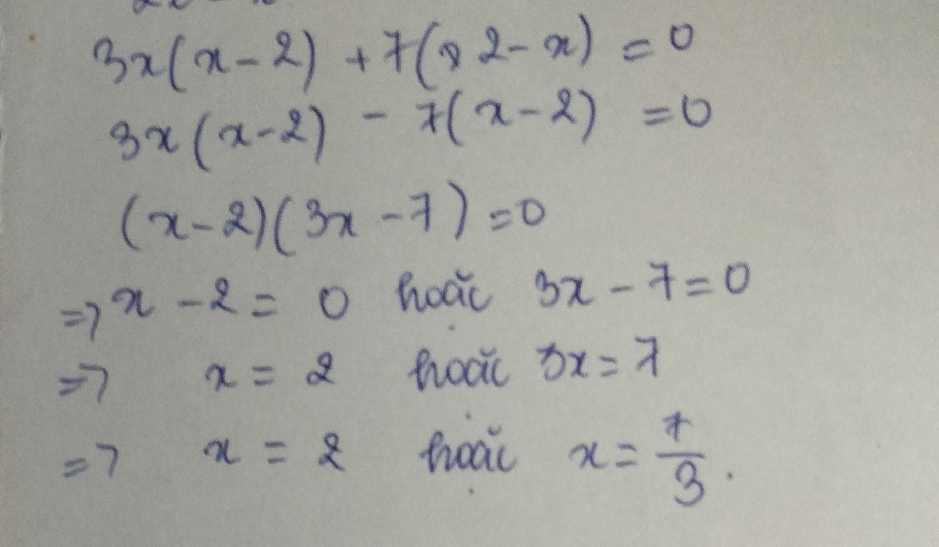
2. Đáp án là x = , x = 2
Câu trả lời: https://www.symbolab.com/solver/step-by-step/3x%5Cleft(x-2%5Cright)%2B7%5Cleft(2-x%5Cright)%20%3D0?or=input
Câu trên để mình coi lại cái nha, tạm thời câu này đi
Quảng cáo
Bạn cần hỏi gì?
Câu hỏi hot cùng chủ đề
-
111733
-
Hỏi từ APP VIETJACK
Đã trả lời bởi chuyên gia
72060 -
Đã trả lời bởi chuyên gia
53979 -
Đã trả lời bởi chuyên gia
48286 -
Đã trả lời bởi chuyên gia
47006 -
Đã trả lời bởi chuyên gia
46491 -
Hỏi từ APP VIETJACK
Đã trả lời bởi chuyên gia
41069 -
Đã trả lời bởi chuyên gia
39173
Gửi báo cáo thành công!
