Thiện Phạm
Hỏi từ APP VIETJACK
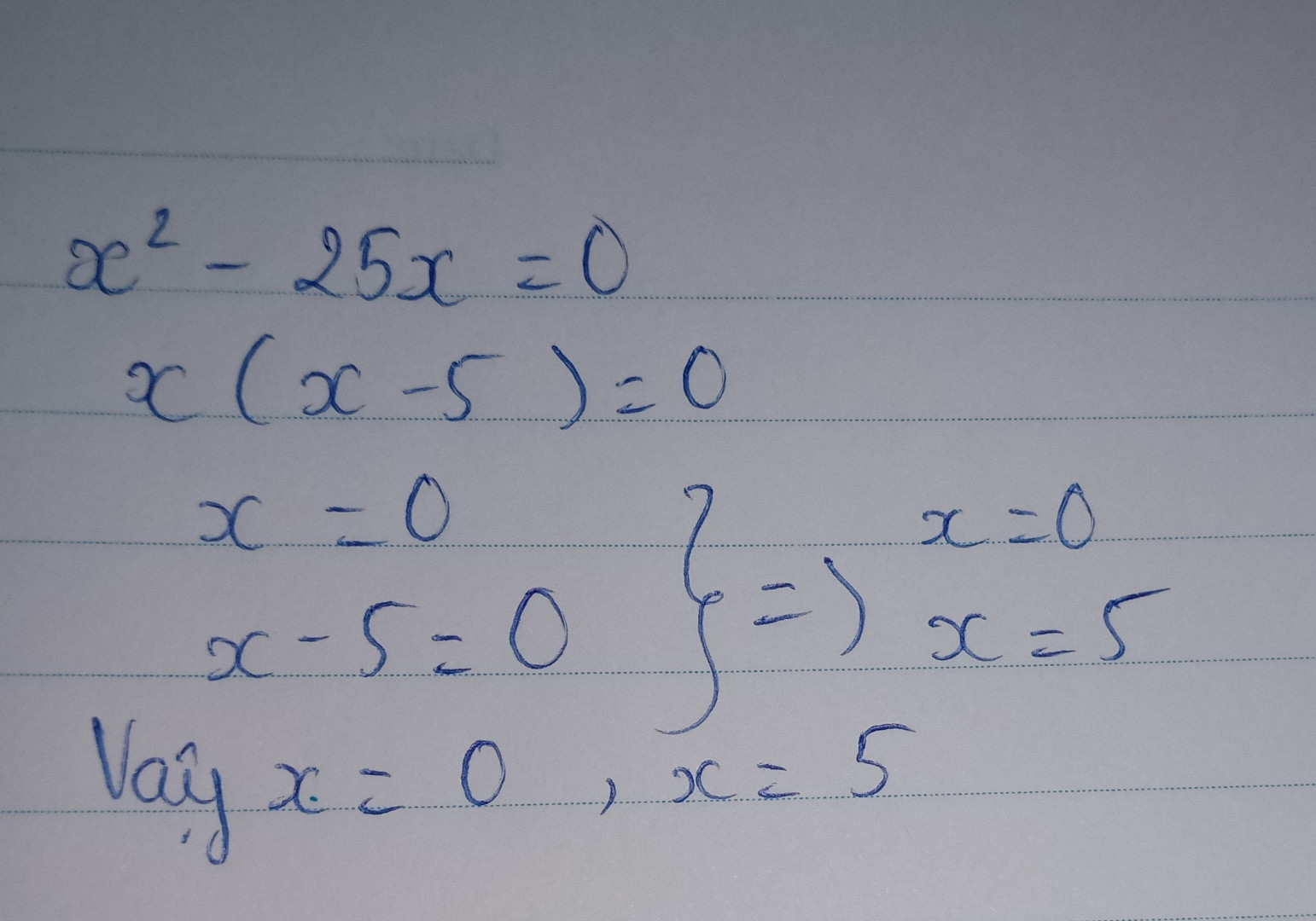
Tìm x, biết: x² - 25x =0
Quảng cáo
4 câu trả lời 268
`x^2 - 25x =0`
`x(x-25)=0`
`x=0`
`x-25=0`
`x=0`
`x=25`
Quảng cáo
Bạn cần hỏi gì?
Câu hỏi hot cùng chủ đề
-
112247
-
Hỏi từ APP VIETJACK
Đã trả lời bởi chuyên gia
72846 -
Đã trả lời bởi chuyên gia
54086 -
Đã trả lời bởi chuyên gia
48368 -
Đã trả lời bởi chuyên gia
47281 -
Đã trả lời bởi chuyên gia
46585 -
Hỏi từ APP VIETJACK
Đã trả lời bởi chuyên gia
41265 -
Đã trả lời bởi chuyên gia
39282
Gửi báo cáo thành công!
