27x^2( y- 1) – 9x^3 ( 1 – y)
Đặng Nhân
· 3 năm trước
đề bài là phân tích đt thành nhân tử ak bn
Quảng cáo
2 câu trả lời 238
đây nha![]()
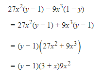
`27x^2(y – 1) – 9x^3(1 – y)`
`= 27x^2(y – 1) + 9x^3(y – 1)`
`= (27x^2 + 9x^3)(y – 1)`
`= 9x^2(3 + x)(y – 1)`
Quảng cáo
Bạn cần hỏi gì?
Câu hỏi hot cùng chủ đề
-
107437
-
Hỏi từ APP VIETJACK
Đã trả lời bởi chuyên gia
68061 -
Đã trả lời bởi chuyên gia
52846 -
Đã trả lời bởi chuyên gia
47344 -
Đã trả lời bởi chuyên gia
45400 -
Đã trả lời bởi chuyên gia
45045 -
Hỏi từ APP VIETJACK
Đã trả lời bởi chuyên gia
38412 -
Đã trả lời bởi chuyên gia
38191
Gửi báo cáo thành công!

