Quảng cáo
1 câu trả lời 1389


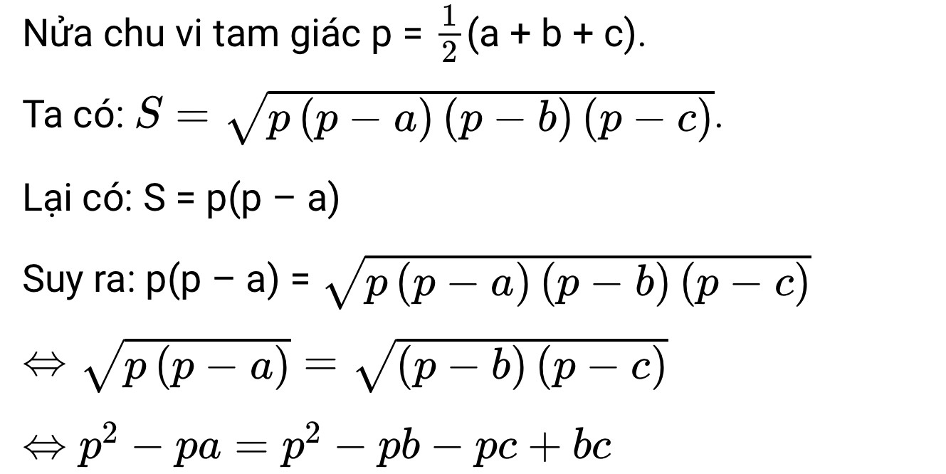
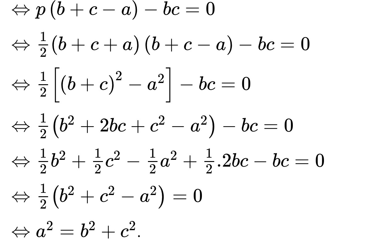
=> tam giác ABC vuông tại A ( theo ĐL Py-ta-go đảo)
Fan bê tông Út Nak
· 3 năm trước
Sao 1/2(b²+c²-a²)=0 <=> a²= b²+c² vậy ạ
Quảng cáo
Bạn cần hỏi gì?
Câu hỏi hot cùng chủ đề
-
Đã trả lời bởi chuyên gia
90495 -
Đã trả lời bởi chuyên gia
60475 -
Hỏi từ APP VIETJACK
Đã trả lời bởi chuyên gia
59779 -
Đã trả lời bởi chuyên gia
51365 -
Hỏi từ APP VIETJACK
Đã trả lời bởi chuyên gia
48884 -
Đã trả lời bởi chuyên gia
39205
Gửi báo cáo thành công!
