Phúc Lê
· 1 năm trước
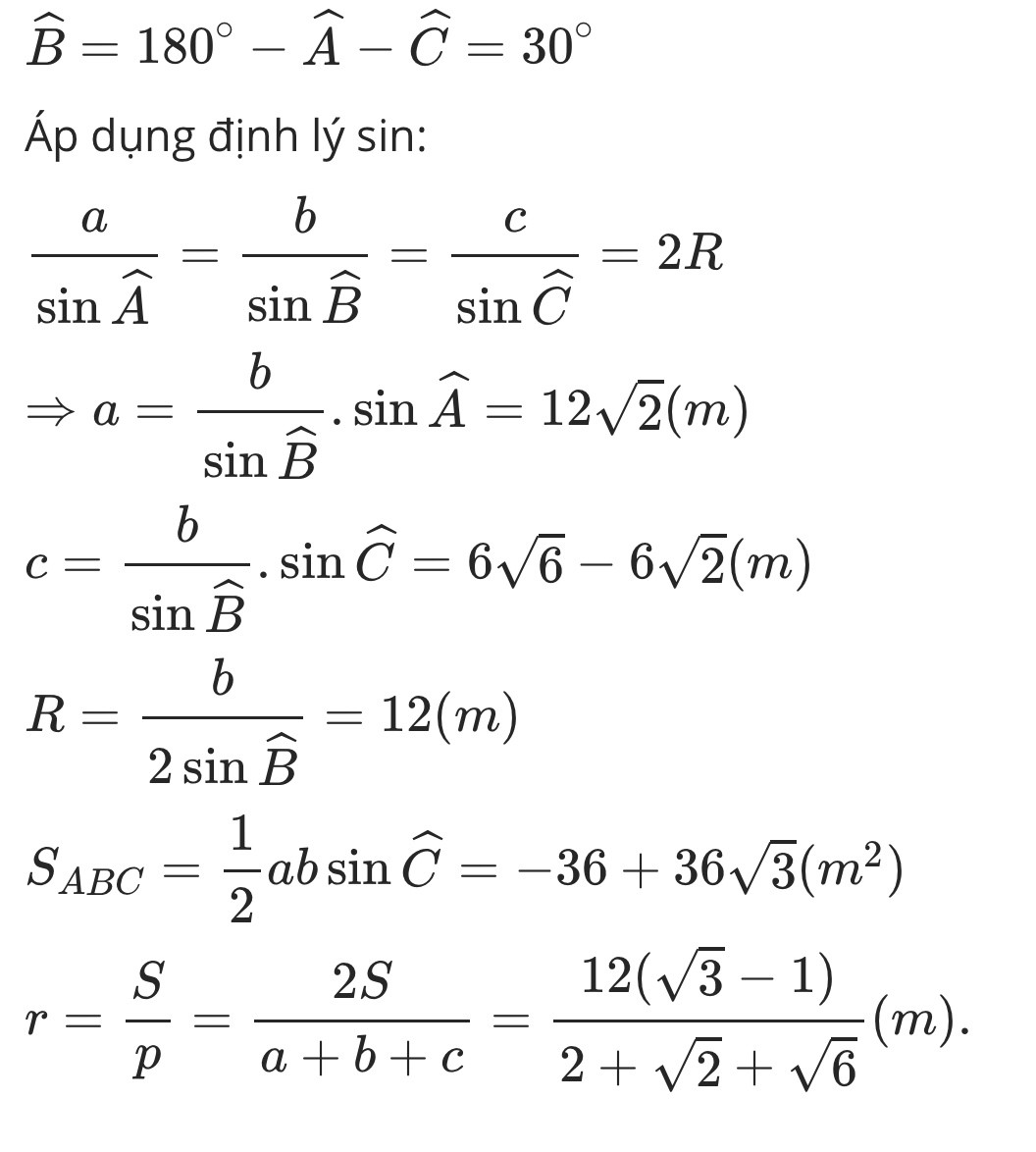
Cho tam giác ABC có A=135° C=15° và b=12 tính a,c,R và số đo góc B
Quảng cáo
2 câu trả lời 14943
Cho tam giác ABC có A=135° C=15° và b=12 tính a,c,R và số đo góc B
Quảng cáo
Bạn cần hỏi gì?
Câu hỏi hot cùng chủ đề
-
Đã trả lời bởi chuyên gia
90495 -
Đã trả lời bởi chuyên gia
60475 -
Hỏi từ APP VIETJACK
Đã trả lời bởi chuyên gia
59779 -
Đã trả lời bởi chuyên gia
51365 -
Hỏi từ APP VIETJACK
Đã trả lời bởi chuyên gia
48884 -
Đã trả lời bởi chuyên gia
39205
Gửi báo cáo thành công!
