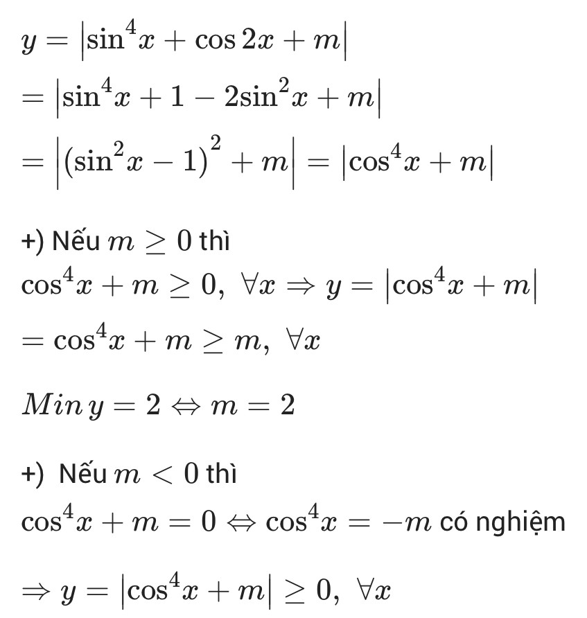
Tìm tất cả giá trị của tham số m sao cho giá trị nhỏ nhất của hàm số
y = | sin^ 4x + cos2x + m | bằng 2
y = | sin^ 4x + cos2x + m | bằng 2
Quảng cáo
1 câu trả lời 548

Miny=0≠2
⇒ Không có giá trị của m để hàm số có GTNN bằng 2.
Vậy S={2}⇒ Tổng só phần tử của S bằng 2.
Quảng cáo
Bạn cần hỏi gì?
Câu hỏi hot cùng chủ đề
-
Đã trả lời bởi chuyên gia
135862 -
Hỏi từ APP VIETJACK
Đã trả lời bởi chuyên gia
76897 -
Đã trả lời bởi chuyên gia
72534 -
Đã trả lời bởi chuyên gia
47990
Gửi báo cáo thành công!
