Nguyệt Trần
Hỏi từ APP VIETJACK
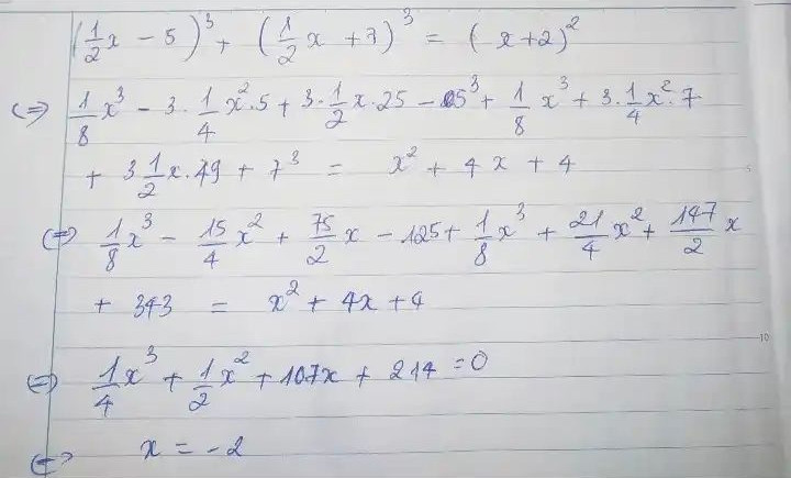
Tìm x , biết : (1/2×x-5)^3+(1/2×x+7)^3=(x+2)^3
Quảng cáo
1 câu trả lời 166
Quảng cáo
Bạn cần hỏi gì?
Câu hỏi hot cùng chủ đề
-
112698
-
Hỏi từ APP VIETJACK
Đã trả lời bởi chuyên gia
73355 -
Đã trả lời bởi chuyên gia
54268 -
Đã trả lời bởi chuyên gia
48519 -
Đã trả lời bởi chuyên gia
47552 -
Đã trả lời bởi chuyên gia
46757 -
Hỏi từ APP VIETJACK
Đã trả lời bởi chuyên gia
41470 -
Đã trả lời bởi chuyên gia
39449
Gửi báo cáo thành công!
