Hoàng Nguyễn
· 3 năm trước
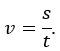
Để xác định tốc độ của một vật chuyển động đều, một người đã đo quãng đường vật đi được băng ( 16 ,0 pm0,4)m, thời gian chuyển động được đo chính xác là 4s. Tốc độ của vật là bao nhiêu
Quảng cáo
2 câu trả lời 32431
3 năm trước
1. Công thức tốc độ trung bình:

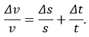
2. Độ bất định tương đối: Từ quy tắc tính sai số:

Suy ra:

3. Thay số:
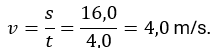
Quãng đường: s = 16,0 m,
Thời gian: t = 4,0 s,
Tốc độ trung bình:
![]()
Độ bất định tương đối:

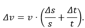
Độ bất định tuyệt đối:
4. Kết quả:
∆v = (4,0 ± 0,3) m/s.
Kết luận
Tốc độ trung bình của vật là:
Quảng cáo
Bạn muốn hỏi bài tập?
Câu hỏi hot cùng chủ đề
-
150255
-
97543
-
Hỏi từ APP VIETJACK59014
Gửi báo cáo thành công!
