Nguyễn Phương Hà
Hỏi từ APP VIETJACK
Đường kính của một sợi dây đo bằng thước pame trong 5 lần đo bằng 2,620cm; 2,625cm; 2,630cm; 2,628cm; 2,626cm. Bỏ qua sai số dụng cụ . Sai số tỉ đối bằng : A.01% B.0,2% C.0,3% D.0,4%
Quảng cáo
3 câu trả lời 44285
Giải chi tiết:
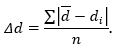
Bước 1: Công thức tính sai số tỉ đối
Sai số tỉ đối được tính bằng công thức:
![]()
trong đó:
- : sai số tuyệt đối trung bình,
- : giá trị trung bình của các lần đo.
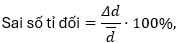
Bước 2: Tính giá trị trung bình ![]()
Giá trị trung bình được tính bằng:
![]()
trong đó di là giá trị đo từng lần, n = 5 là số lần đo.
Cộng các giá trị đo:
![]()
Giá trị trung bình:
![]()
Bước 3: Tính sai số tuyệt đối trung bình
Sai số tuyệt đối trung bình được tính bằng:
![]()
Tính
cho từng giá trị:

![]()
Tổng các giá trị:
![]()
Sai số tuyệt đối trung bình:
![]()
Bước 4: Tính sai số tỉ đối
Thay
vào công thức sai số tỉ đối:
![]()
Tính toán:
![]()
Kết luận:
Sai số tỉ đối là:
![]()
Đáp án: A.
Quảng cáo
Bạn cần hỏi gì?
Câu hỏi hot cùng chủ đề
-
Đã trả lời bởi chuyên gia
150594 -
97622
-
Hỏi từ APP VIETJACK
Đã trả lời bởi chuyên gia
59093
Gửi báo cáo thành công!
