So sánh
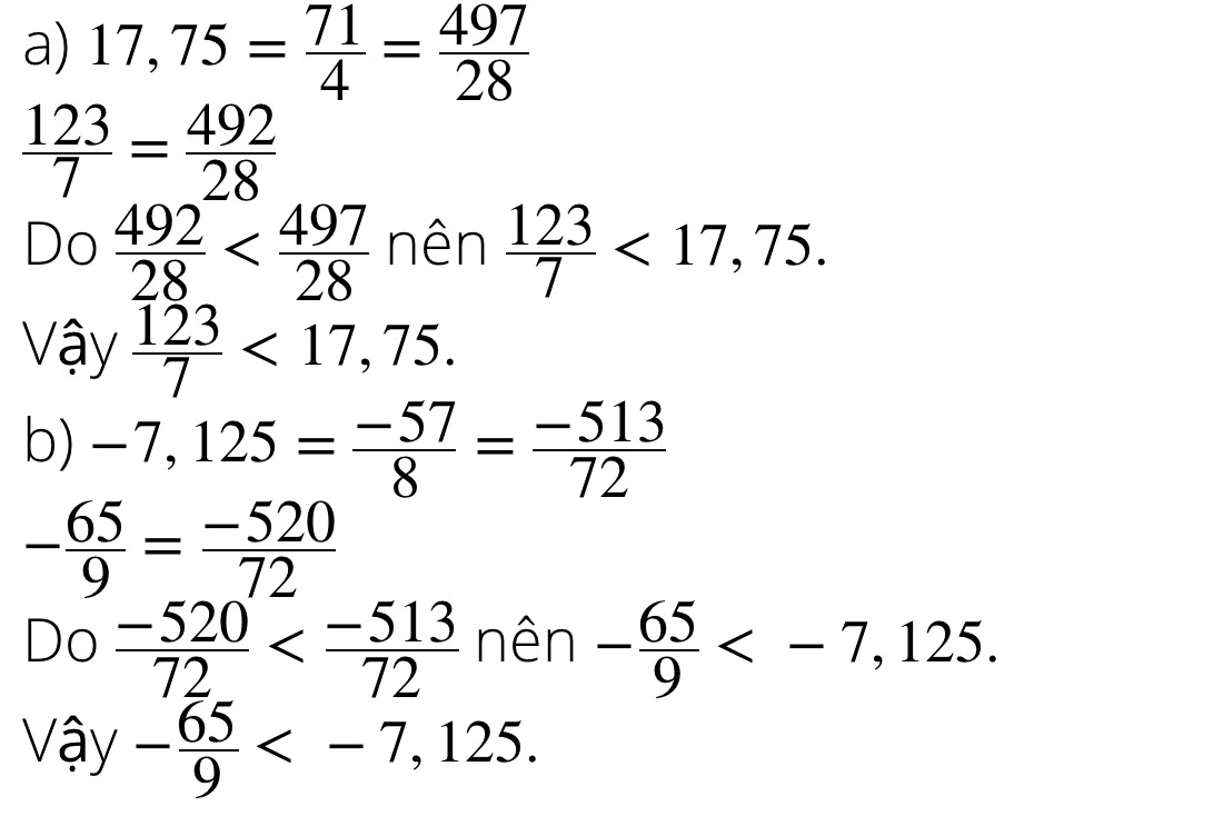
a) 123/7 và 17,75
b) -65/9 và -7,125
a) 123/7 và 17,75
b) -65/9 và -7,125
Quảng cáo
3 câu trả lời 202
Quảng cáo
Bạn cần hỏi gì?
Câu hỏi hot cùng chủ đề
-
Hỏi từ APP VIETJACK120962
-
Đã trả lời bởi chuyên gia
81713 -
Đã trả lời bởi chuyên gia
59651 -
Đã trả lời bởi chuyên gia
39669
Gửi báo cáo thành công!



