Quảng cáo
2 câu trả lời 127
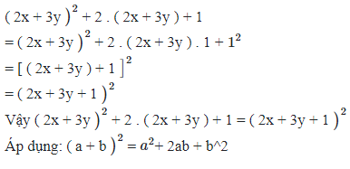
( 2x + 3y + 2 . ( 2x + 3y ) + 1
= ( 2x + 3y + 2 . ( 2x + 3y ) . 1 +
= [ ( 2x + 3y ) + 1
= ( 2x + 3y + 1
Vậy ( 2x + 3y + 2 . ( 2x + 3y ) + 1 = ( 2x + 3y + 1
Áp dụng: ( a + b = + 2ab + b^2
Quảng cáo
Bạn cần hỏi gì?
Câu hỏi hot cùng chủ đề
-
107593
-
Hỏi từ APP VIETJACK
Đã trả lời bởi chuyên gia
68300 -
Đã trả lời bởi chuyên gia
52884 -
Đã trả lời bởi chuyên gia
47390 -
Đã trả lời bởi chuyên gia
45461 -
Đã trả lời bởi chuyên gia
45109 -
Hỏi từ APP VIETJACK
Đã trả lời bởi chuyên gia
38488 -
Đã trả lời bởi chuyên gia
38230
Gửi báo cáo thành công!

