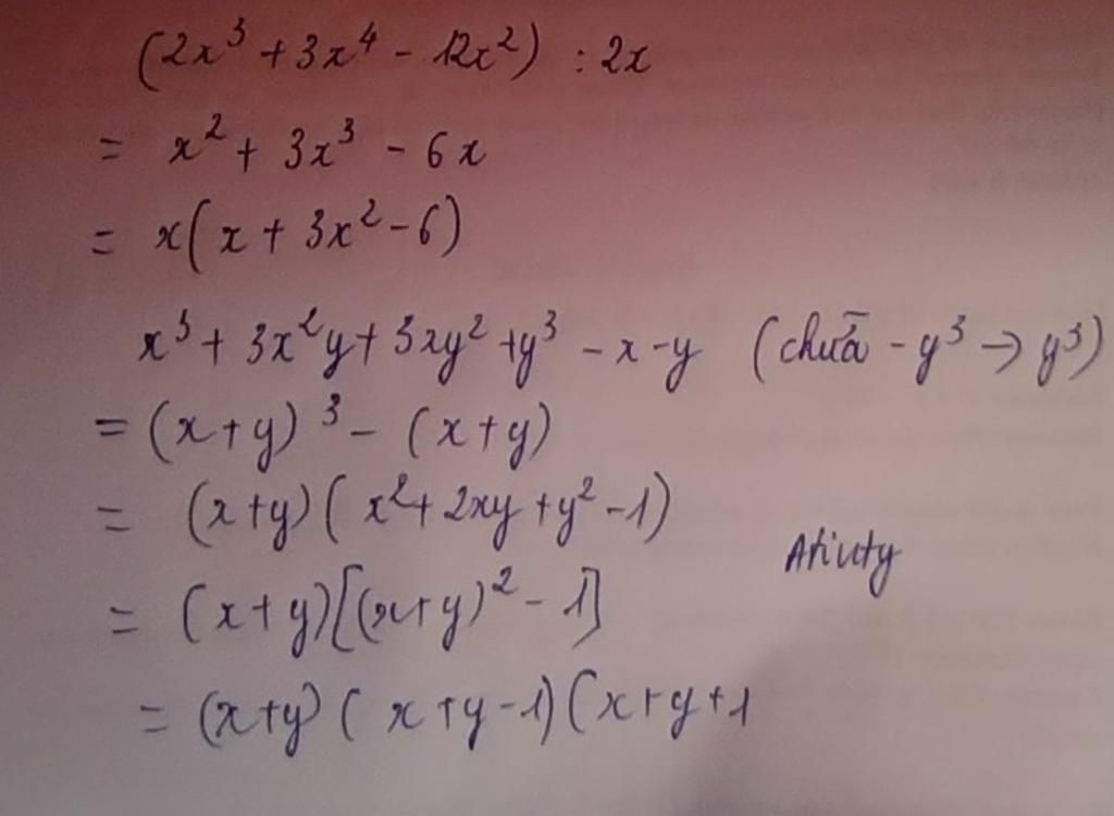
(2x^3+3x^4-12x^2):2x
x^3-x+3x^2y+3xy^2-y-y^3
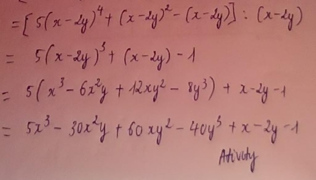
[5(x-2y)^4+(x-2y)^2+2y-x]:(x-2y)
(−x2 + 6x3-x2 + 6x3 - 26x + 21): (3 - 2x);
(x^2+x^3-1+5x):(x-1)
Quảng cáo
1 câu trả lời 214
Quảng cáo
Bạn muốn hỏi bài tập?
Câu hỏi hot cùng chủ đề
-
107278
-
Hỏi từ APP VIETJACK67830
-
44998
-
38171
Gửi báo cáo thành công!


