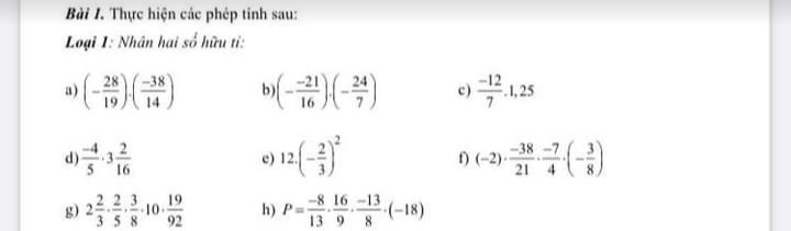
Quảng cáo
2 câu trả lời 422
3 năm trước
Vì 10< 50<100 nên ta làm tròn số 98176244 đến hàng trăm là: 98176200..
Quảng cáo
Bạn muốn hỏi bài tập?
Câu hỏi hot cùng chủ đề
-
Hỏi từ APP VIETJACK120962
-
Đã trả lời bởi chuyên gia
81713 -
Đã trả lời bởi chuyên gia
59651 -
Đã trả lời bởi chuyên gia
39669
Gửi báo cáo thành công!
