Nguyễn Hữu Khải
Hỏi từ APP VIETJACK
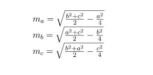
Công thức trung tuyến mở rộng trong tam giác là gì?
Quảng cáo
2 câu trả lời 347
3 năm trước

Trong đó: a, b ,c lần lượt là các cạnh trong tam giác
ma, mb, mc lần lượt là những đường trung tuyến trong tam giác
Quảng cáo
Bạn cần hỏi gì?
Câu hỏi hot cùng chủ đề
-
Hỏi từ APP VIETJACK
Đã trả lời bởi chuyên gia
129637 -
Đã trả lời bởi chuyên gia
104061 -
Đã trả lời bởi chuyên gia
94054 -
Đã trả lời bởi chuyên gia
69272
Gửi báo cáo thành công!

