Trần Hà Linh Nguyễn
Hỏi từ APP VIETJACK
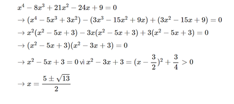
Giải phương trình: x⁴ - 8x³ + 21x² - 24x + 9 = 0
Quảng cáo
1 câu trả lời 550
Quảng cáo
Bạn muốn hỏi bài tập?
Câu hỏi hot cùng chủ đề
-
107278
-
Hỏi từ APP VIETJACK67830
-
44998
-
38171
Gửi báo cáo thành công!

..