Thi Hong Ngoc Phan
Hỏi từ APP VIETJACK
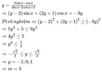
Hàm số y = 2sinx-cosx/sinx+2cosx+3 có tất cả m giá trị nguyên. Tìm m
Quảng cáo
2 câu trả lời 4447
Quảng cáo
Bạn muốn hỏi bài tập?
Câu hỏi hot cùng chủ đề
Gửi báo cáo thành công!

